第7页
- 第1页
- 第2页
- 第3页
- 第4页
- 第5页
- 第6页
- 第7页
- 第8页
- 第9页
- 第10页
- 第11页
- 第12页
- 第13页
- 第14页
- 第15页
- 第16页
- 第17页
- 第18页
- 第19页
- 第20页
- 第21页
- 第22页
- 第23页
- 第24页
- 第25页
- 第26页
- 第27页
- 第28页
- 第29页
- 第30页
- 第31页
- 第32页
- 第33页
- 第34页
- 第35页
- 第36页
- 第37页
- 第38页
- 第39页
- 第40页
- 第41页
- 第42页
- 第43页
- 第44页
- 第45页
- 第46页
- 第47页
- 第48页
- 第49页
- 第50页
- 第51页
- 第52页
- 第53页
- 第54页
- 第55页
- 第56页
- 第57页
- 第58页
- 第59页
- 第60页
- 第61页
- 第62页
- 第63页
- 第64页
- 第65页
- 第66页
- 第67页
- 第68页
- 第69页
- 第70页
- 第71页
- 第72页
- 第73页
- 第74页
- 第75页
- 第76页
- 第77页
- 第78页
- 第79页
- 第80页
- 第81页
- 第82页
- 第83页
- 第84页
- 第85页
- 第86页
- 第87页
- 第88页
- 第89页
- 第90页
- 第91页
- 第92页
- 第93页
- 第94页
- 第95页
- 第96页
- 第97页
- 第98页
- 第99页
- 第100页
- 第101页
- 第102页
- 第103页
- 第104页
- 第105页
- 第106页
- 第107页
- 第108页
- 第109页
- 第110页
- 第111页
- 第112页
- 第113页
- 第114页
- 第115页
- 第116页
- 第117页
- 第118页
- 第119页
- 第120页
- 第121页
- 第122页
- 第123页
- 第124页
- 第125页
- 第126页
- 第127页
- 第128页
- 第129页
- 第130页
- 第131页
- 第132页
- 第133页
- 第134页
- 第135页
- 第136页
- 第137页
- 第138页
- 第139页
- 第140页
- 第141页
- 第142页
- 第143页
- 第144页
- 第145页
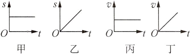
31.用图像表示物体的运动规律,下列各图中表示同一运动规律的图像是( )
A.甲图和丙图
B.甲图和丁图
C.乙图和丙图
D.乙图和丁图
A.甲图和丙图
B.甲图和丁图
C.乙图和丙图
D.乙图和丁图
答案:
C
32.认真观察图中现象,判断甲、乙两船运动情况( )
A.甲船可能向右运动,乙船可能静止
B.甲船一定向右运动,乙船一定向左运动
C.甲船可能向右运动,乙船一定向左运动
D.甲船一定向右运动,乙船可能向左运动
A.甲船可能向右运动,乙船可能静止
B.甲船一定向右运动,乙船一定向左运动
C.甲船可能向右运动,乙船一定向左运动
D.甲船一定向右运动,乙船可能向左运动
答案:
C
33.甲、乙两小车运动的s - t图像如图所示,由图像可知( )
A.甲、乙两车都做匀速直线运动
B.甲车的速度为10m/s,乙车的速度为2m/s
C.经过6s,甲、乙两车相距2m
D.经过5s,甲、乙两车通过的路程均为10m
A.甲、乙两车都做匀速直线运动
B.甲车的速度为10m/s,乙车的速度为2m/s
C.经过6s,甲、乙两车相距2m
D.经过5s,甲、乙两车通过的路程均为10m
答案:
C
34.甲、乙两人同时从同一起跑线出发,同向做匀速直线运动,某时刻他们的位置如图1所示,图2中能正确反映两人运动距离与时间关系的是( )
答案:
D
35.甲、乙两物体同时从同一地点出发,沿直线向同一方向运动,它们的s - t图像如图所示,下列说法正确的是( )
A.0~5s内,乙的平均速度是3m/s
B.3~5s内,乙做匀速直线运动
C.4s时,乙在甲前方5m处
D.5s时,甲、乙两物体的速度相等
A.0~5s内,乙的平均速度是3m/s
B.3~5s内,乙做匀速直线运动
C.4s时,乙在甲前方5m处
D.5s时,甲、乙两物体的速度相等
答案:
A
36.小明乘车时观察到路边有很多路灯杆,为了估测出两根路灯杆之间的距离(相邻两根路灯杆间距相同),小明用手表记录下汽车在平直公路上由第1根路灯杆行驶到第26根路灯杆的时间为1min,此时汽车速度表如图所示,则相邻两根路灯杆之间的距离为________m。
答案:
40
查看更多完整答案,请扫码查看