第71页
- 第1页
- 第2页
- 第3页
- 第4页
- 第5页
- 第6页
- 第7页
- 第8页
- 第9页
- 第10页
- 第11页
- 第12页
- 第13页
- 第14页
- 第15页
- 第16页
- 第17页
- 第18页
- 第19页
- 第20页
- 第21页
- 第22页
- 第23页
- 第24页
- 第25页
- 第26页
- 第27页
- 第28页
- 第29页
- 第30页
- 第31页
- 第32页
- 第33页
- 第34页
- 第35页
- 第36页
- 第37页
- 第38页
- 第39页
- 第40页
- 第41页
- 第42页
- 第43页
- 第44页
- 第45页
- 第46页
- 第47页
- 第48页
- 第49页
- 第50页
- 第51页
- 第52页
- 第53页
- 第54页
- 第55页
- 第56页
- 第57页
- 第58页
- 第59页
- 第60页
- 第61页
- 第62页
- 第63页
- 第64页
- 第65页
- 第66页
- 第67页
- 第68页
- 第69页
- 第70页
- 第71页
- 第72页
- 第73页
- 第74页
1. 唐代诗人刘禹锡在《乌衣巷》中写道:“朱雀桥边野草花,乌衣巷口夕阳斜。旧时王谢堂前燕,飞入寻常百姓家。”王、谢都是东晋著名的士族,当年他们居住在乌衣巷。能佐证王、谢当年的风光的是(
A.王侯将相宁有种乎
B.王猛担任前秦丞相
C.谢安指挥淝水之战
D.“王与马,共天下”
D
)A.王侯将相宁有种乎
B.王猛担任前秦丞相
C.谢安指挥淝水之战
D.“王与马,共天下”
答案:
D 解析:依据所学可知,司马睿重建晋王朝,主要依赖了世家大族王导、王敦兄弟的支持,时称"王与马,共天下",D项正确。
2. 东晋时期有一名将,曾率军北伐,得到各地人民的响应,数年间收复黄河以南大片领土,使得少数民族不敢南下,维护了东晋的安定。“闻鸡起舞”“中流击楫”就是关于他的故事,他是(
A.祖逖
B.曹操
C.袁绍
D.苻坚
A
)A.祖逖
B.曹操
C.袁绍
D.苻坚
答案:
A 解析:东晋初期,祖逖等人,曾收复黄河以南的部分地区。
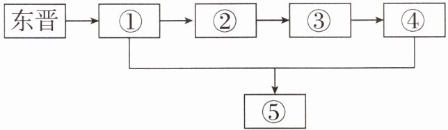
3. 了解历史发展的时序是学习历史的基本要求,与图中序号相对应的朝代依次是(

A.宋、齐、梁、陈、北朝
B.宋、梁、齐、陈、北朝
C.宋、陈、梁、齐、南朝
D.宋、齐、梁、陈、南朝
D
)A.宋、齐、梁、陈、北朝
B.宋、梁、齐、陈、北朝
C.宋、陈、梁、齐、南朝
D.宋、齐、梁、陈、南朝
答案:
D 解析:结合所学知识可知,东晋灭亡后,420—589年,中国南方政权更迭频繁,相继出现宋、齐、梁、陈四个朝代。这些朝代都在建康定都,历史上统称为"南朝",D项正确。
4. (重庆中考 A 卷)同学们在历史探究学习中,围绕主题收集了一些史料,现摘录部分内容如下表。据此可知,他们探究的主题应该是(

A.政权建设与社会进步
B.技术发明与经济发展
C.人口迁徙与区域开发
D.商业繁盛与文化交流
C
)A.政权建设与社会进步
B.技术发明与经济发展
C.人口迁徙与区域开发
D.商业繁盛与文化交流
答案:
C 解析:"幽、冀、青、并、兖五州及徐州之淮北(均位于我国北方)流人相帅(率)过江淮"反映了北方人口南迁;"江南之为国盛矣……一岁或稔,则数郡忘饥"说明江南地区得到开发,C项正确;题干材料未涉及政权建设、技术发明、文化交流,排除A、B、D三项。
5. 东晋南朝时海上交通和海外贸易都远超前代。东晋与大秦、波斯和中南半岛上的国家有贸易往来;南朝对日本和朝鲜半岛的贸易增多,与东南亚地区的交往更加频繁,还同天竺以及西亚、欧洲、非洲等地区有商品贸易交往。这种现象主要缘于(
A.江南地区的开发
B.造船技术的进步
C.抑商政策的松动
D.丝绸之路的开通
A
)A.江南地区的开发
B.造船技术的进步
C.抑商政策的松动
D.丝绸之路的开通
答案:
A 解析:根据题干材料并结合所学知识可知,东晋南朝时期中国海外贸易发达,这是由于此时江南地区得到开发,A项正确;造船技术的进步是东晋南朝时期海外贸易发达的原因之一,但不是题干所述现象的主要原因,排除B项;中国古代自商鞅变法以来一直实行重农抑商政策,排除C项;丝绸之路在西汉时期已经开通,排除D项。
查看更多完整答案,请扫码查看