一、想一想,填一填。

0 0 7 7 0 7 0
0 0 7 8 6 4 6 4
答案:
0 0 7 7 0 7 0
0 0 7 8 6 4 6 4
0 0 7 8 6 4 6 4
二、用竖式计算。
$18.54÷18= $ $24÷75= $ $0.12÷5= $ $33÷6= $
$18.54÷18= $ $24÷75= $ $0.12÷5= $ $33÷6= $
答案:


三、下面各题算得对吗?把不对的改正过来。


答案:
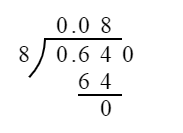
改正:$0.64÷8=0.08$

改正:$79.3÷26=3.05$

改正:$0.64÷8=0.08$
改正:$79.3÷26=3.05$
四、不用计算,判断下面各题的商是大于1还是小于1。(填序号)
①$45÷30$ ②$10÷25$ ③$19.8÷18$ ④$15.6÷6$ ⑤$35÷56$ ⑥$25.2÷35$
商大于1:(
①$45÷30$ ②$10÷25$ ③$19.8÷18$ ④$15.6÷6$ ⑤$35÷56$ ⑥$25.2÷35$
商大于1:(
①③④
) 商小于1:(②⑤⑥
)
答案:
①③④ ②⑤⑥
五、【思维拓展】购物发票不小心被弄脏了,请你算出圆珠笔和钢笔的单价。

答案:
圆珠笔的单价:$58.5÷9=6.5$(元)
钢笔的单价:$227.9-58.5=169.4$(元)
$169.4÷7=24.2$(元)
钢笔的单价:$227.9-58.5=169.4$(元)
$169.4÷7=24.2$(元)
查看更多完整答案,请扫码查看