一、用竖式计算。
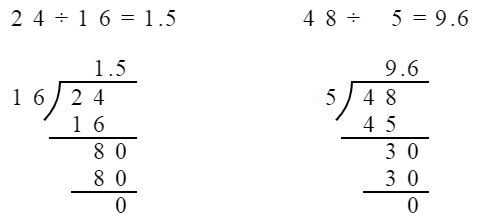
$13.8÷ 6= $ $\quad 52.4÷ 8= $ $\quad 24÷ 16= $ $\quad 48÷ 5= $
$13.8÷ 6= $ $\quad 52.4÷ 8= $ $\quad 24÷ 16= $ $\quad 48÷ 5= $
答案:


二、李叔叔的养殖场里养了 8 只羊,它们一天要吃 30 千克的干饲料。平均 1 只羊一天要吃多少千克的干饲料?
答案:
30÷8=3.75(千克)
三、奇思的妈妈从水果店买回来 5 个菠萝,共花了 48.8 元,平均每个菠萝花了多少元?
答案:
48.8÷5=9.76(元)
四、甲、乙两店促销同种酸奶,甲店买 6 盒需要 28.5 元,乙店买四送一需要 24 元。在哪家店买更划算?
答案:
甲店:28.5÷6=4.75(元) 乙店:24÷(4+1)=4.8(元) 4.75元<4.8元,甲店
五、【思维拓展】工人叔叔把 1 根钢管截成 6 段需要 21 分,照这样计算,把这根钢管截成 10 段需要几分?
答案:
21÷(6-1)=4.2(分) 4.2×(10-1)=37.8(分)
查看更多完整答案,请扫码查看