第41页
- 第1页
- 第2页
- 第3页
- 第4页
- 第5页
- 第6页
- 第7页
- 第8页
- 第9页
- 第10页
- 第11页
- 第12页
- 第13页
- 第14页
- 第15页
- 第16页
- 第17页
- 第18页
- 第19页
- 第20页
- 第21页
- 第22页
- 第23页
- 第24页
- 第25页
- 第26页
- 第27页
- 第28页
- 第29页
- 第30页
- 第31页
- 第32页
- 第33页
- 第34页
- 第35页
- 第36页
- 第37页
- 第38页
- 第39页
- 第40页
- 第41页
- 第42页
- 第43页
- 第44页
- 第45页
- 第46页
- 第47页
- 第48页
- 第49页
- 第50页
- 第51页
- 第52页
- 第53页
- 第54页
- 第55页
- 第56页
- 第57页
- 第58页
- 第59页
- 第60页
- 第61页
- 第62页
- 第63页
- 第64页
- 第65页
- 第66页
- 第67页
- 第68页
- 第69页
- 第70页
- 第71页
- 第72页
- 第73页
- 第74页
- 第75页
- 第76页
- 第77页
- 第78页
- 第79页
- 第80页
- 第81页
- 第82页
- 第83页
- 第84页
- 第85页
- 第86页
- 第87页
- 第88页
- 第89页
- 第90页
- 第91页
- 第92页
- 第93页
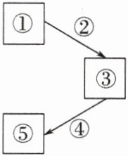
6. 如图为反射弧的结构模式图,下列有关反射和反射弧的叙述错误的是(

A.反射是神经调节的基本方式
B.①是感受器,⑤是效应器
C.③是神经中枢,包括大脑和脊髓
D.反射弧必须保持完整性,才能够完成反射
C
)A.反射是神经调节的基本方式
B.①是感受器,⑤是效应器
C.③是神经中枢,包括大脑和脊髓
D.反射弧必须保持完整性,才能够完成反射
答案:
C 解析:③是神经中枢,位于脑和脊髓中,脑又包括大脑、小脑和脑干。
7. (2025·石家庄一模)“红灯停、绿灯行”是基本的交通规则,这有助于保证交通安全。下列选项与“看到红灯要停步”反射类型不相同的是(
A.盲人根据盲道指引拐弯
B.听到警报声响有序撤离
C.被相声演员逗得哈哈大笑
D.无意碰触到针尖时手迅速回缩
D
)A.盲人根据盲道指引拐弯
B.听到警报声响有序撤离
C.被相声演员逗得哈哈大笑
D.无意碰触到针尖时手迅速回缩
答案:
D
8. “共享单车”已成为绿色出行的一种时尚交通工具。骑车时需要你“眼观六路,耳听八方”,下列说法正确的是(
A.鼓膜接受汽笛声产生振动,通过耳蜗产生神经冲动,传到听觉中枢形成听觉
B.骑车时听到提示音“倒车,请注意”及时躲避,属于非条件反射
C.骑车时看到红灯会刹车,形成视觉的部位是视网膜
D.在骑行中维持身体平衡的神经中枢位于大脑
A
)A.鼓膜接受汽笛声产生振动,通过耳蜗产生神经冲动,传到听觉中枢形成听觉
B.骑车时听到提示音“倒车,请注意”及时躲避,属于非条件反射
C.骑车时看到红灯会刹车,形成视觉的部位是视网膜
D.在骑行中维持身体平衡的神经中枢位于大脑
答案:
A
9. (2025·济南期中)骨性关节炎是由关节软骨受损或软化而引起的一类疾病。患者严重时会导致关节畸形和运动功能丧失。结合关节示意图分析,下列说法错误的是(

A.图中①④分别是关节头和关节窝
B.图中②③标号所示结构与关节牢固性有关
C.患者受损的部位主要是图中的⑤
D.正常人适量运动可刺激②分泌更多滑液,使关节更灵活
B
)A.图中①④分别是关节头和关节窝
B.图中②③标号所示结构与关节牢固性有关
C.患者受损的部位主要是图中的⑤
D.正常人适量运动可刺激②分泌更多滑液,使关节更灵活
答案:
B 解析:②是关节囊,使关节更牢固。③是关节腔,关节腔内有滑液,能减少骨与骨之间的摩擦,使关节运动灵活自如。
10. (2025·石家庄一模)同学们上体育课时,都需要做一系列的运动。人体的运动依赖于一定的结构,据图分析,下列说法错误的是(

A.当同学们做引体向上的动作时,图一中结构1收缩,结构2舒张
B.如果图二是肘关节示意图,则肘关节由图中的3、4、5共同组成
C.图二中的4内有滑液,可以减少骨与骨之间的摩擦
D.图三中A、B表示骨骼肌两端的肌腱,B应连接在10上面
B
)A.当同学们做引体向上的动作时,图一中结构1收缩,结构2舒张
B.如果图二是肘关节示意图,则肘关节由图中的3、4、5共同组成
C.图二中的4内有滑液,可以减少骨与骨之间的摩擦
D.图三中A、B表示骨骼肌两端的肌腱,B应连接在10上面
答案:
B
查看更多完整答案,请扫码查看