11. 下列常用实验材料中,与其他几种不属于同一个结构层次的是 (
A.西红柿果肉
B.洋葱内表皮
C.菠菜叶上表皮
D.小麦粒
D
)A.西红柿果肉
B.洋葱内表皮
C.菠菜叶上表皮
D.小麦粒
答案:
D
12. (2023·青岛)番茄是一种常见的果蔬。下列有关叙述正确的是 (
A.番茄果实中的酸味物质主要来自液泡
B.番茄的果皮主要由上皮组织构成
C.番茄植株的根、茎、叶属于生殖器官
D.番茄植株与人体的结构层次相同
A
)A.番茄果实中的酸味物质主要来自液泡
B.番茄的果皮主要由上皮组织构成
C.番茄植株的根、茎、叶属于生殖器官
D.番茄植株与人体的结构层次相同
答案:
A
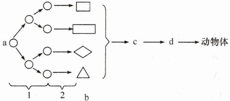
13. 科学思维 建模 如图是动物体的构成模型,数字表示生理过程,字母表示结构层次。下列叙述正确的是 (

A.a 通过 1 和 2 形成 b,相同的 b 结合在一起构成 c
B.d 由不同的 c 按照一定次序结合在一起构成
C.骨组织与 c 属于同一结构层次
D.油菜的种子与 d 属于同一结构层次
B
)A.a 通过 1 和 2 形成 b,相同的 b 结合在一起构成 c
B.d 由不同的 c 按照一定次序结合在一起构成
C.骨组织与 c 属于同一结构层次
D.油菜的种子与 d 属于同一结构层次
答案:
B
14. 如图表示多细胞生物体的结构层次,下列有关叙述不正确的是 (

A.细胞中的遗传物质是 DNA
B.细胞分裂过程中,遗传物质先复制再均分
C.叶表皮属于 a 层次,与皮肤一样属于保护组织
D.c 代表的是植物体,d 代表的是动物体
C
)A.细胞中的遗传物质是 DNA
B.细胞分裂过程中,遗传物质先复制再均分
C.叶表皮属于 a 层次,与皮肤一样属于保护组织
D.c 代表的是植物体,d 代表的是动物体
答案:
C
15. 我从哪里来? 新生命是怎样诞生的? 人体是怎样构建的? 请据图回答下列问题。
(1)人类的新生命是从一个 A 细胞开始的,A 细胞被称为
(2)A 细胞通过
(3)请据图写出人体的结构层次: 细胞→

(1)人类的新生命是从一个 A 细胞开始的,A 细胞被称为
受精卵
。(2)A 细胞通过
细胞分裂
形成 B,使细胞数目增多。B 中的细胞一部分具有分裂能力继续分裂,而另一部分细胞失去了分裂能力,通过细胞分化
形成 C,在此过程中,细胞的形态、结构和功能
产生了差异。(3)请据图写出人体的结构层次: 细胞→
组织
→器官→系统
→人体。人体具有而植物没有的结构层次是系统
。
答案:
(1)受精卵
(2)细胞分裂 细胞分化 功能
(3)组织 系统 系统
(1)受精卵
(2)细胞分裂 细胞分化 功能
(3)组织 系统 系统
16. 如图所示是植物个体发育不同时期的结构层次,请据图回答下列问题。
(1)图中 a 所代表的过程是
(2)图中 b 所代表的过程是
(3)丁所示的植物的叶在结构层次上属于

(1)图中 a 所代表的过程是
细胞分裂
,在此过程中细胞内最重要的变化是染色体
数量先加倍,然后平均分配到两个子细胞中。(2)图中 b 所代表的过程是
细胞分化
,所形成的丙所示的四种结构在结构层次上叫组织
。(3)丁所示的植物的叶在结构层次上属于
器官
。
答案:
(1)细胞分裂 染色体
(2)细胞分化 组织 器官
(1)细胞分裂 染色体
(2)细胞分化 组织 器官
查看更多完整答案,请扫码查看