第41页
- 第1页
- 第2页
- 第3页
- 第4页
- 第5页
- 第6页
- 第7页
- 第8页
- 第9页
- 第10页
- 第11页
- 第12页
- 第13页
- 第14页
- 第15页
- 第16页
- 第17页
- 第18页
- 第19页
- 第20页
- 第21页
- 第22页
- 第23页
- 第24页
- 第25页
- 第26页
- 第27页
- 第28页
- 第29页
- 第30页
- 第31页
- 第32页
- 第33页
- 第34页
- 第35页
- 第36页
- 第37页
- 第38页
- 第39页
- 第40页
- 第41页
- 第42页
- 第43页
- 第44页
- 第45页
- 第46页
- 第47页
- 第48页
- 第49页
- 第50页
- 第51页
- 第52页
- 第53页
- 第54页
- 第55页
- 第56页
- 第57页
- 第58页
- 第59页
- 第60页
- 第61页
- 第62页
- 第63页
- 第64页
- 第65页
- 第66页
- 第67页
- 第68页
- 第69页
- 第70页
- 第71页
- 第72页
- 第73页
- 第74页
- 第75页
- 第76页
- 第77页
- 第78页
- 第79页
- 第80页
- 第81页
- 第82页
- 第83页
- 第84页
- 第85页
- 第86页
- 第87页
- 第88页
- 第89页
- 第90页
- 第91页
- 第92页
- 第93页
- 第94页
- 第95页
- 第96页
- 第97页
- 第98页
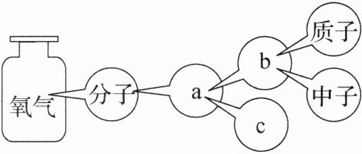
1. 知识梳理有助于我们对已学知识进行巩固,如图是某同学学习原子结构后,以氧气为例进行的梳理,请将相对应的微观粒子名称填写在横线上。

a:
a:
原子
b:原子核
c:核外电子
答案:
原子 原子核 核外电子
2. 原子的结构可以用原子结构示意图表示,请写出各部分表示的意义(以钠原子为例)。

电子层 电子数 原子核 质子数或核电荷数
答案:
电子层 电子数 原子核 质子数或核电荷数
3. 离子符号周围数字的意义(以镁离子为例)。

1个镁离子带2个单位正电荷
2个镁离子
答案:
1个镁离子带2个单位正电荷 2个镁离子
1. 物质是直接或间接由原子构成的,原子又由电子、质子与中子等更微小的粒子构成。若以“○”“●”和“○”分别代表电子、质子与中子,则下列各示意图中表示阳离子的是(

B
)。
答案:
B
查看更多完整答案,请扫码查看