第10页
- 第1页
- 第2页
- 第3页
- 第4页
- 第5页
- 第6页
- 第7页
- 第8页
- 第9页
- 第10页
- 第11页
- 第12页
- 第13页
- 第14页
- 第15页
- 第16页
- 第17页
- 第18页
- 第19页
- 第20页
- 第21页
- 第22页
- 第23页
- 第24页
- 第25页
- 第26页
- 第27页
- 第28页
- 第29页
- 第30页
- 第31页
- 第32页
- 第33页
- 第34页
- 第35页
- 第36页
- 第37页
- 第38页
- 第39页
- 第40页
- 第41页
- 第42页
- 第43页
- 第44页
- 第45页
- 第46页
- 第47页
- 第48页
- 第49页
- 第50页
- 第51页
- 第52页
- 第53页
- 第54页
- 第55页
- 第56页
- 第57页
- 第58页
- 第59页
- 第60页
- 第61页
- 第62页
- 第63页
- 第64页
- 第65页
- 第66页
- 第67页
- 第68页
- 第69页
- 第70页
- 第71页
- 第72页
- 第73页
- 第74页
- 第75页
- 第76页
- 第77页
- 第78页
- 第79页
- 第80页
1. 物体沿着直线且
速度
不变的运动,叫作匀速直线运动。做匀速直线运动的物体在任何相同的时间内通过的路程都是相等
的,运动轨迹是直
线。
答案:
1.速度 相等 直
2. 物体做直线运动时,其速度的大小常常是
变化
的,即在相等的时间内通过的路程不相等
,这种运动叫作变速直线运动。只作粗略研究时,可以用平均速度
来描述变速直线运动物体的运动情况。平均速度等于总路程与总时间的比值
,计算公式为$v=$$\frac{s}{t}$
。
答案:
2.变化 不相等 平均速度 比值 $\frac{s}{t}$
1. 下列物体中做匀速直线运动的是(
A.正在缓缓进站的火车
B.绕地球匀速转动的北斗卫星
C.某段时间内在平直的轨道上沿直线做快慢不变的运动的火车
D.从高处坠落的物体
C
)A.正在缓缓进站的火车
B.绕地球匀速转动的北斗卫星
C.某段时间内在平直的轨道上沿直线做快慢不变的运动的火车
D.从高处坠落的物体
答案:
1.C
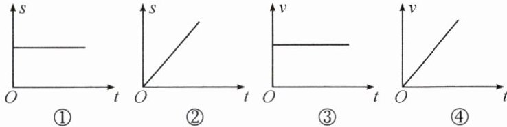
2. 一辆汽车正在平直的公路上运动,用$s$、$v$和$t$分别表示汽车运动的路程、速度和时间。下面四个图像中能反映汽车在做匀速直线运动的是(

A.①④
B.①③
C.②③
D.②④
C
)A.①④
B.①③
C.②③
D.②④
答案:
2.C
3. “和谐号”动车在笔直的铁路上以 200 km/h 的速度做匀速直线运动,由$v=\frac{s}{t}$可知(
A.“和谐号”的速度与时间成反比
B.“和谐号”的速度与路程成正比
C.“和谐号”的速度与时间、路程无关
D.以上说法均错误
C
)A.“和谐号”的速度与时间成反比
B.“和谐号”的速度与路程成正比
C.“和谐号”的速度与时间、路程无关
D.以上说法均错误
答案:
3.C
4. 一个做匀速直线运动的物体,8 s 内通过的路程是 20 m。那么,它在最初 1.75 s 时间内运动的速度是
2.5
m/s,它 1 min 内通过的路程是150
m。
答案:
4.2.5 150
5. 在《龟兔赛跑》的故事中,乌龟和兔子同时从起点出发,当兔子远远超过乌龟时,便骄傲地睡起了大觉,当它醒来后,发现乌龟已经悄悄地爬到了终点。在龟兔赛跑的全过程中,下列说法正确的是(
A.乌龟的速度始终大于兔子的速度
B.兔子的速度始终大于乌龟的速度
C.兔子的平均速度大于乌龟的平均速度
D.乌龟的平均速度大于兔子的平均速度
D
)A.乌龟的速度始终大于兔子的速度
B.兔子的速度始终大于乌龟的速度
C.兔子的平均速度大于乌龟的平均速度
D.乌龟的平均速度大于兔子的平均速度
答案:
5.D
6. 如图记录了两辆汽车在平直公路上的运动情况,在这 800 m 的运动过程中,甲、乙两车的平均速度$v_{甲}$

=
(填“>”“<”或“=”)$v_{乙}$,其中甲
(填“甲”或“乙”)车一定做变速直线运动,其平均速度是20
m/s。
答案:
6.= 甲 20
7. 坚持锻炼,增强体魄。小明坚持每天早晨跑步 20 min 锻炼身体。某天,小明先以 3 m/s 的速度慢跑了 5 min,然后以 5 m/s 的速度跑了 15 min。求:
(1)小明前 5 min 慢跑的路程。
(2)小明本次晨跑全程的平均速度。
(1)小明前 5 min 慢跑的路程。
(2)小明本次晨跑全程的平均速度。
答案:
(1) 小明前 $5\ min$ 慢跑的路程:
(2) 小明后 $15\ min$ 跑步的路程:
解:
(1) 小明前 $5\ min$ 慢跑的路程:
$s_{1}=v_{1}t_{1}=3\ m/s×5×60\ s=900\ m$
(2) 小明后 $15\ min$ 跑步的路程:
$s_{2}=v_{2}t_{2}=5\ m/s×15×60\ s=4500\ m$
小明本次晨跑全程的平均速度:
$v = \frac{s}{t} = \frac{s_{1} + s_{2}}{t} = \frac{900\ m + 4500\ m}{20×60\ s} = 4.5\ m/s$
查看更多完整答案,请扫码查看