2025年世超金典暑假乐园八年级物理人教版
注:目前有些书本章节名称可能整理的还不是很完善,但都是按照顺序排列的,请同学们按照顺序仔细查找。练习册 2025年世超金典暑假乐园八年级物理人教版 答案主要是用来给同学们做完题方便对答案用的,请勿直接抄袭。
6. 在如图所示的滑轮组上绕线,使匀速提升重物 $ G $ 时最省力。

答案:
6.如图所示。
6.如图所示。
7. 如图所示,用螺丝刀撬起图钉。请在图上画出螺丝刀受到图钉阻力 $ F_{2} $ 的力臂,并画出作用在螺丝刀的刀柄上 $ A $ 点的最小动力 $ F_{1} $ 的示意图。

答案:
7.如图所示。
7.如图所示。
8. 如图所示,在水平冰面上有一重 $ 300 \, \text{N} $ 的雪橇,小明用 $ 50 \, \text{N} $ 的力拉动雪橇,拉力的方向与水平方向成 $ 30^{\circ} $ 角,请你在图中画出雪橇所受拉力的示意图。

答案:
8.如图所示。
8.如图所示。
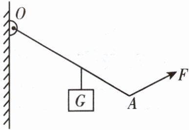
9. 如图中杠杆 $ OA $ 处于平衡状态,请在图中画出动力 $ F $ 对支点 $ O $ 的力臂 $ l $。

答案:
9.如图所示。
9.如图所示。
10. 站在地面上的人想用尽可能小的力提升水桶,请在图中画出滑轮组绳子的绕法。

答案:
10.如图所示。
10.如图所示。
查看更多完整答案,请扫码查看