2025年素养工具包三年级数学上册人教版
注:目前有些书本章节名称可能整理的还不是很完善,但都是按照顺序排列的,请同学们按照顺序仔细查找。练习册 2025年素养工具包三年级数学上册人教版 答案主要是用来给同学们做完题方便对答案用的,请勿直接抄袭。
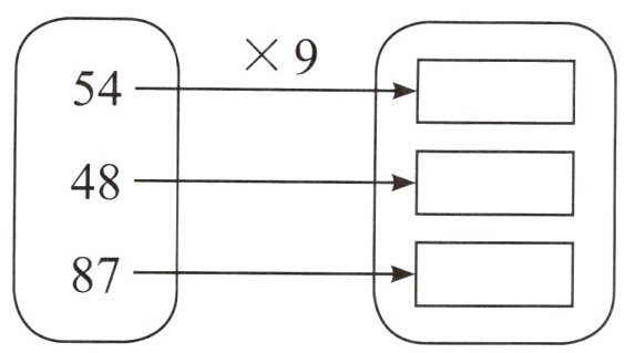
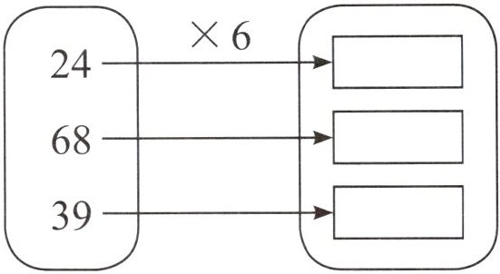
5.
$\begin{array}{r}54×9\\48\\87\end{array}$
$\begin{array}{r}24×6\\68\\39\end{array}$


$\begin{array}{r}54×9\\48\\87\end{array}$
$\begin{array}{r}24×6\\68\\39\end{array}$
答案:
5.486 432 783 144 408 234
6. 在$$◯$$里填上“>”“<”或“=”。
$\begin{aligned}542×6&◯3000\\588×7&◯4000\end{aligned}$
$\begin{aligned}492×3&◯1300\\409×9&◯3500\end{aligned}$
$\begin{aligned}1280×5&◯6000\\790×2&◯1900\end{aligned}$
$\begin{aligned}542×6&◯3000\\588×7&◯4000\end{aligned}$
$\begin{aligned}492×3&◯1300\\409×9&◯3500\end{aligned}$
$\begin{aligned}1280×5&◯6000\\790×2&◯1900\end{aligned}$
答案:
6.> > > > > <
7. 李叔叔骑摩托车从 A 镇去 D 镇旅行,途中要经过 B,C 两个小镇。李叔叔每小时骑行 25 千米,8 小时能到达目的地吗?

答案:
7.75+23+86=184(千米) 25×8=200 (千米) 能到达。
8. 右图是铺了地砖的会议室地面。
(1)这间房共铺了多少块地砖?

(2)如果每块地砖 8 元钱,铺这间房共花了多少元钱?
(1)这间房共铺了多少块地砖?
(2)如果每块地砖 8 元钱,铺这间房共花了多少元钱?
答案:
8.
(1)6×5×7=210(块)
(2)210×8=1680(元)
(1)6×5×7=210(块)
(2)210×8=1680(元)
9. 先完成左边的算式,看看你能找到什么规律。
$\begin{aligned}99×2&=\\99×3&=\\99×4&=\\99×5&=\end{aligned}$
$\begin{aligned}99×6&=\\99×7&=\\99×8&=\\99×9&=\end{aligned}$
你能不计算直接写出右边算式的得数吗?

$\begin{aligned}99×2&=\\99×3&=\\99×4&=\\99×5&=\end{aligned}$
$\begin{aligned}99×6&=\\99×7&=\\99×8&=\\99×9&=\end{aligned}$
你能不计算直接写出右边算式的得数吗?
答案:
9.198 297 396 495 594 693 792 891
查看更多完整答案,请扫码查看