(1)芳芳、欢欢、笑笑、乐乐四位同学进行乒乓球友谊比赛,每两人都要比赛一场,一共要比赛(
A.4
B.6
C.8
B
)场。A.4
B.6
C.8
答案:
B
(2)中山码头有客轮和货轮驶往A地。已知客轮每15分钟发一艘,货轮每25分钟发一艘。如果上午6:00有客轮和货轮同时发出,那么下一次两种船同时发出的时间是(
A.7:15
B.7:30
C.7:45
A
)。A.7:15
B.7:30
C.7:45
答案:
A
(3)从0、5、7三个数字中选出1个、2个或3个数字进行组合,可以得到(
A.11
B.9
C.10
A
)个不同的数。A.11
B.9
C.10
答案:
A
2. 现有1元、5元、10元人民币各一张。

你能组合出多少种不同数额的人民币?
你能组合出多少种不同数额的人民币?
答案:
7种
3. 有8厘米、7厘米、4厘米、12厘米的小棒,从中任意选三根,有多少种不同的选法?如果把选出的三根小棒围成三角形,有多少种围法?
答案:
4种 2种
4. 小玲有2顶不同的帽子,3件不同的上衣,3条不同的裤子和4条不同的裙子。如果小玲穿上衣和裙子,有多少种不同的穿法?如果小玲穿上衣和裤子,再戴上帽子,有多少种不同的搭配方法?
答案:
3×4=12(种) 2×3×3=18(种)
5. 下面图形中共有几个长方形?

答案:
18个
6. 实验小学正在举行足球比赛,已知胜一场得3分,平一场得1分,输一场得0分,五(2)班比赛了2场,可能得多少分?
答案:
6分,4分,3分,2分,1分,0分
7. 丁丁从家到少年宫,如果只能向东或向南走,一共有多少种不同的路线?

答案:
10种
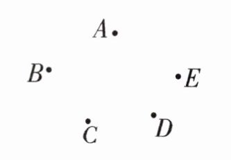
8. 在排球比赛中,每赢一球,队员都会以击掌来表示庆贺。如图的五名队员中,A击了4次,B击了3次,C击了2次,D击了1次,E击了几次?分别是和谁击的掌?(先在下图中连线表示已击掌的次数,再回答)

答案:
E击了2次,分别是与A、B击的掌
E击了2次,分别是与A、B击的掌
查看更多完整答案,请扫码查看