5. 当手被针刺到后,人会缩手也会感觉到痛,有关此过程(现象)的叙述错误的是(
A.缩手反射属于条件反射
B.先缩手后感觉到痛
C.感觉到痛与大脑有关
D.缩手反射与脊髓有关
A
)A.缩手反射属于条件反射
B.先缩手后感觉到痛
C.感觉到痛与大脑有关
D.缩手反射与脊髓有关
答案:
A
6. 若用麻醉剂阻断某人膝跳反射反射弧上的传入神经某一个位点后,用橡皮锤轻敲此人膝盖下方的韧带,下列叙述正确的是(
A.不能确定有没有感觉,但能完成膝跳反射
B.无感觉,不能完成膝跳反射
C.无感觉,能完成膝跳反射
D.有感觉,不能完成膝跳反射
B
)A.不能确定有没有感觉,但能完成膝跳反射
B.无感觉,不能完成膝跳反射
C.无感觉,能完成膝跳反射
D.有感觉,不能完成膝跳反射
答案:
B
7. 生物体能对外界刺激作出反应。下列生命现象中,属于反射的一项是(
A.小丽看到精彩的小说片段时哭了
B.梧桐树到了秋冬季节就落叶
C.受到碰触后含羞草叶片合拢
D.草履虫避开食盐水游向肉汁
A
)A.小丽看到精彩的小说片段时哭了
B.梧桐树到了秋冬季节就落叶
C.受到碰触后含羞草叶片合拢
D.草履虫避开食盐水游向肉汁
答案:
A
8. 某同学在校园生物角修剪月季时,不小心被刺扎到手,迅速缩手并感到疼痛。对完成该反射的神经结构(如图所示),叙述正确的是(

A.1是效应器,能够对刺扎到皮肤作出反应
B.3是神经中枢,痛觉就是在这里产生的
C.完成缩手反射的传导途径是5→4→3→2→1
D.3是神经中枢,受到大脑皮层的控制
D
)A.1是效应器,能够对刺扎到皮肤作出反应
B.3是神经中枢,痛觉就是在这里产生的
C.完成缩手反射的传导途径是5→4→3→2→1
D.3是神经中枢,受到大脑皮层的控制
答案:
解析:选D。题图中1是感受器,能够感受刺激,产生神经冲动,A错误。3是神经中枢,痛觉在大脑皮层中形成,B错误。一个完整的反射弧包括1感受器、2传入神经、3神经中枢、4传出神经和5效应器五部分。完成缩手反射的传导途径是1→2→3→4→5,C错误。该反射弧的3神经中枢位于脊髓,受到大脑皮层的控制,D正确。
9. 开考铃声响起,你马上奋笔疾书。与此不属于同一反射类型的是(
A.膝跳反射
B.画饼充饥
C.闻鸡起舞
D.谈虎色变
A
)A.膝跳反射
B.画饼充饥
C.闻鸡起舞
D.谈虎色变
答案:
A
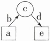
10. 如图为反射弧的结构模式图。下列有关叙述中正确的是(

A.若表示缩手反射,则a可代表传出神经末梢和它支配的手臂肌肉
B.若表示膝跳反射,则c位于大脑皮层
C.若表示听到铃声进入教室,则a可代表鼓膜
D.若表示看到酸梅分泌唾液,则b可代表视神经
D
)A.若表示缩手反射,则a可代表传出神经末梢和它支配的手臂肌肉
B.若表示膝跳反射,则c位于大脑皮层
C.若表示听到铃声进入教室,则a可代表鼓膜
D.若表示看到酸梅分泌唾液,则b可代表视神经
答案:
D
11. 下图是反射弧的结构示意图,请据图并运用所学知识回答下列各题:

(1) 图中的结构⑤是
(2) 图中的传出神经是[
(3) 人类神经调节的基本方式是
(1) 图中的结构⑤是
感受器
,具有感受刺激和产生神经冲动
的作用。(2) 图中的传出神经是[
②
],具有将神经冲动传到效应器
(填名称)的作用。(3) 人类神经调节的基本方式是
反射
,完成反射活动的神经结构是反射弧
。
答案:
(1)感受器 神经冲动
(2)② 效应器
(3)反射 反射弧
(1)感受器 神经冲动
(2)② 效应器
(3)反射 反射弧
查看更多完整答案,请扫码查看