第84页
- 第1页
- 第2页
- 第3页
- 第4页
- 第5页
- 第6页
- 第7页
- 第8页
- 第9页
- 第10页
- 第11页
- 第12页
- 第13页
- 第14页
- 第15页
- 第16页
- 第17页
- 第18页
- 第19页
- 第20页
- 第21页
- 第22页
- 第23页
- 第24页
- 第25页
- 第26页
- 第27页
- 第28页
- 第29页
- 第30页
- 第31页
- 第32页
- 第33页
- 第34页
- 第35页
- 第36页
- 第37页
- 第38页
- 第39页
- 第40页
- 第41页
- 第42页
- 第43页
- 第44页
- 第45页
- 第46页
- 第47页
- 第48页
- 第49页
- 第50页
- 第51页
- 第52页
- 第53页
- 第54页
- 第55页
- 第56页
- 第57页
- 第58页
- 第59页
- 第60页
- 第61页
- 第62页
- 第63页
- 第64页
- 第65页
- 第66页
- 第67页
- 第68页
- 第69页
- 第70页
- 第71页
- 第72页
- 第73页
- 第74页
- 第75页
- 第76页
- 第77页
- 第78页
- 第79页
- 第80页
- 第81页
- 第82页
- 第83页
- 第84页
- 第85页
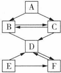
8. A、B、C、D、E、F 都是初中化学中常见的物质,A、C 组成元素相同,D 为红色固体单质,它们之间的相互转化如下:(图中“→”表示物质间存在的转化关系,反应条件已略去)

(1) 分别写出 E、F 的化学式:E______;F______。
(2) 写出 A 和 B 反应的化学方程式:______。
(3) 写出 C 和 E 反应的化学方程式:______。
(1) 分别写出 E、F 的化学式:E______;F______。
(2) 写出 A 和 B 反应的化学方程式:______。
(3) 写出 C 和 E 反应的化学方程式:______。
答案:
(1)C ${O2}$
(2)${CO + CuO\xlongequal{\Delta}CO2 + Cu}$
(3)${CO2 + C\xlongequal{高温}2CO}$
(1)C ${O2}$
(2)${CO + CuO\xlongequal{\Delta}CO2 + Cu}$
(3)${CO2 + C\xlongequal{高温}2CO}$
1. 科学研究发现,金星大气的成分之一是三氧化二碳$(C_2O_3),$实验证明$ C_2O_3$的化学性质与 CO 相似。下列关于$ C_2O_3$的叙述不正确的是( )。
$A. C_2O_3$在氧气中充分燃烧的产物为$ CO_2$
$B. C_2O_3$能使澄清石灰水变浑浊
$C. C_2O_3$在一定条件下能还原氧化铜
$D. C_2O_3$和 CO 都属于氧化物
$A. C_2O_3$在氧气中充分燃烧的产物为$ CO_2$
$B. C_2O_3$能使澄清石灰水变浑浊
$C. C_2O_3$在一定条件下能还原氧化铜
$D. C_2O_3$和 CO 都属于氧化物
答案:
B
2. 现有$ Fe_2O_3、$ZnO、CuO 的固体混合粉末 a g,在高温条件下用足量 CO 还原,得到金属混合物 2.41 g,将生成的$ CO_2$气体用足量澄清石灰水吸收后,产生 5.00 g 白色沉淀,则 a 的数值为( )。
A.7.41
B.3.59
C.3.21
D.2.46
A.7.41
B.3.59
C.3.21
D.2.46
答案:
C 【解析】设生成的二氧化碳质量为x。
${Ca(OH)2 + CO2\xlongequal{}CaCO3\downarrow + H2O}$
44 100
x 5.00 g
$\frac{44}{100}=\frac{x}{5.00\ g}$
$x=2.20\ g$
发生的有关反应为${CO + CuO\xlongequal{\Delta}Cu + CO2}$、${CO + ZnO\xlongequal{高温}Zn + CO2}$、${3CO + Fe2O3\xlongequal{高温}2Fe + 3CO2}$
二氧化碳中碳元素的质量等于一氧化碳中碳元素的质量,碳元素质量为$2.20\ g×\frac{12}{44}=0.60\ g$。
设一氧化碳中氧元素质量为y。
${CO}~{O}~{C}$
28 16 12
y 0.60 g
$\frac{16}{12}=\frac{y}{0.60\ g}$ $y=0.80\ g$
二氧化碳中氧元素的质量为$2.20\ g-0.60\ g=1.60\ g$,从反应的化学方程式可以看出,二氧化碳中氧元素来自${CO}$和金属氧化物,故金属氧化物中氧元素的质量为$1.60\ g-0.80\ g=0.80\ g$,所以金属氧化物的质量为$2.41\ g+0.80\ g=3.21\ g$。
${Ca(OH)2 + CO2\xlongequal{}CaCO3\downarrow + H2O}$
44 100
x 5.00 g
$\frac{44}{100}=\frac{x}{5.00\ g}$
$x=2.20\ g$
发生的有关反应为${CO + CuO\xlongequal{\Delta}Cu + CO2}$、${CO + ZnO\xlongequal{高温}Zn + CO2}$、${3CO + Fe2O3\xlongequal{高温}2Fe + 3CO2}$
二氧化碳中碳元素的质量等于一氧化碳中碳元素的质量,碳元素质量为$2.20\ g×\frac{12}{44}=0.60\ g$。
设一氧化碳中氧元素质量为y。
${CO}~{O}~{C}$
28 16 12
y 0.60 g
$\frac{16}{12}=\frac{y}{0.60\ g}$ $y=0.80\ g$
二氧化碳中氧元素的质量为$2.20\ g-0.60\ g=1.60\ g$,从反应的化学方程式可以看出,二氧化碳中氧元素来自${CO}$和金属氧化物,故金属氧化物中氧元素的质量为$1.60\ g-0.80\ g=0.80\ g$,所以金属氧化物的质量为$2.41\ g+0.80\ g=3.21\ g$。
3. A ~ F 是初中化学的常见物质,六种物质均由非金属元素组成。其中 D、F 是组成元素相同的气体;E 为黑色固体。各种物质间存在如图所示的关系。(图中 “→”表示转化关系,“——”表示相互反应,部分反应物、生成物及反应条件已略去)

(1) 写出下列物质的化学式:A______;E______。
(2) A→B 的化学方程式为______。
(3) F→D 的化学方程式为______。
(1) 写出下列物质的化学式:A______;E______。
(2) A→B 的化学方程式为______。
(3) F→D 的化学方程式为______。
答案:
(1)${H2O2}$ C
(2)${2H2O2\xlongequal{{MnO2}}2H2O\uparrow + O2\uparrow}$
(3)${2CO + O2\xlongequal{点燃}2CO2}$
(1)${H2O2}$ C
(2)${2H2O2\xlongequal{{MnO2}}2H2O\uparrow + O2\uparrow}$
(3)${2CO + O2\xlongequal{点燃}2CO2}$
查看更多完整答案,请扫码查看