第184页
- 第169页
- 第170页
- 第171页
- 第172页
- 第173页
- 第174页
- 第175页
- 第176页
- 第177页
- 第178页
- 第179页
- 第180页
- 第181页
- 第182页
- 第183页
- 第184页
- 第185页
- 第186页
- 第187页
- 第188页
- 第189页
- 第190页
- 第191页
- 第192页
- 第193页
- 第194页
- 第195页
- 第196页
- 第197页
- 第198页
- 第199页
- 第200页
- 第201页
- 第202页
- 第203页
- 第204页
- 第205页
- 第206页
- 第207页
- 第208页
- 第209页
- 第210页
- 第211页
- 第212页
- 第213页
- 第214页
- 第215页
- 第216页
- 第217页
- 第218页
- 第219页
- 第220页
- 第221页
- 第222页
- 第223页
- 第224页
- 第225页
- 第226页
- 第227页
- 第228页
- 第229页
- 第230页
- 第231页
( )4. What helps plants to attract insects?
( )5. Why does the writer talk about the snowshoe hare in Paragraph 3?
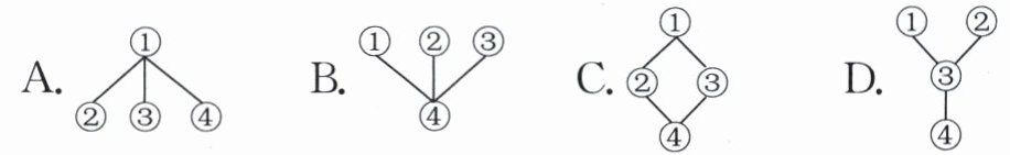
( )6. 创新考法—篇章结构题 Which of the following shows the structure of the text?

( )7. Where can you find this text?
B
( )5. Why does the writer talk about the snowshoe hare in Paragraph 3?
A
( )6. 创新考法—篇章结构题 Which of the following shows the structure of the text?
B
( )7. Where can you find this text?
D
答案:
4. B 【点拨】根据第二段中“Plants also have pigments. Colours play an important role in their life. The bright colours of flowers catch the attention of insects, which then carry the pollen (花粉) from one flower to another.”可知,植物使用颜色吸引昆虫。故选 B。5. A 【点拨】根据第三段中“Animals also use colours for their own need. They protect themselves with different colours in order not to be seen by predators (捕食者). The snowshoe hare, for example, a type of wild rabbit, changes colours with seasons for this reason.”可知,作者在第三段中谈到北美野兔是为了说明动物可以用颜色来保护自己。故选 A。6. B 【点拨】通读全文可知,文章第一、二、三段分别讲了人类、植物和动物对颜色的使用,第四段总结全文,指出颜色的重要性。故文章是“分—总”结构。故选 B。7. D 【点拨】通读全文可知,应该能在一本科学杂志上找到这篇文章。故选 D。
查看更多完整答案,请扫码查看