2025年一本预备三年级数学苏教版
注:目前有些书本章节名称可能整理的还不是很完善,但都是按照顺序排列的,请同学们按照顺序仔细查找。练习册 2025年一本预备三年级数学苏教版 答案主要是用来给同学们做完题方便对答案用的,请勿直接抄袭。
第68页
- 第1页
- 第2页
- 第3页
- 第4页
- 第5页
- 第6页
- 第7页
- 第8页
- 第9页
- 第10页
- 第11页
- 第12页
- 第13页
- 第14页
- 第15页
- 第16页
- 第17页
- 第18页
- 第19页
- 第20页
- 第21页
- 第22页
- 第23页
- 第24页
- 第25页
- 第26页
- 第27页
- 第28页
- 第29页
- 第30页
- 第31页
- 第32页
- 第33页
- 第34页
- 第35页
- 第36页
- 第37页
- 第38页
- 第39页
- 第40页
- 第41页
- 第42页
- 第43页
- 第44页
- 第45页
- 第46页
- 第47页
- 第48页
- 第49页
- 第50页
- 第51页
- 第52页
- 第53页
- 第54页
- 第55页
- 第56页
- 第57页
- 第58页
- 第59页
- 第60页
- 第61页
- 第62页
- 第63页
- 第64页
- 第65页
- 第66页
- 第67页
- 第68页
- 第69页
- 第70页
- 第71页
1. 看量角器上的刻度,填出每个角各是多少度。

35°
120°
答案:
$35^{\circ}$ $120^{\circ}$
2. 请量出下面各角的度数。

30°
答案:
$30^{\circ}$
3. 先写出每个钟面上的时间,再量一量时针与分针所组成的角的度数。

4:00
120°
3:00
90°
答案:
$4:00$ $120^{\circ}$
$3:00$ $90^{\circ}$
$3:00$ $90^{\circ}$
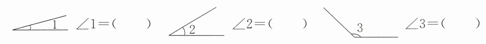
4. 量出下面三个角的度数,并比较它们的大小。

测量:∠1= (
比较:∠1○∠2,∠2○∠3。(填“>”“<”或“=”)
∠1
我发现:角的大小与角的两条边的(
测量:∠1= (
40°
),∠2= (40°
),∠3= (80°
)。比较:∠1○∠2,∠2○∠3。(填“>”“<”或“=”)
∠1
=
∠2,∠2<
∠3。我发现:角的大小与角的两条边的(
长短
)无关,与两条边张开的(大小
)有关。
答案:
测量:∠1= ($40^{\circ}$),∠2= ($40^{\circ}$),∠3= ($80^{\circ}$)。
比较:∠1$=$∠2,∠2$<$∠3。
我发现:角的大小与角的两条边的(长短)无关,与两条边张开的(大小)有关。
比较:∠1$=$∠2,∠2$<$∠3。
我发现:角的大小与角的两条边的(长短)无关,与两条边张开的(大小)有关。
查看更多完整答案,请扫码查看