2025年一本预备三年级数学苏教版
注:目前有些书本章节名称可能整理的还不是很完善,但都是按照顺序排列的,请同学们按照顺序仔细查找。练习册 2025年一本预备三年级数学苏教版 答案主要是用来给同学们做完题方便对答案用的,请勿直接抄袭。
第11页
- 第1页
- 第2页
- 第3页
- 第4页
- 第5页
- 第6页
- 第7页
- 第8页
- 第9页
- 第10页
- 第11页
- 第12页
- 第13页
- 第14页
- 第15页
- 第16页
- 第17页
- 第18页
- 第19页
- 第20页
- 第21页
- 第22页
- 第23页
- 第24页
- 第25页
- 第26页
- 第27页
- 第28页
- 第29页
- 第30页
- 第31页
- 第32页
- 第33页
- 第34页
- 第35页
- 第36页
- 第37页
- 第38页
- 第39页
- 第40页
- 第41页
- 第42页
- 第43页
- 第44页
- 第45页
- 第46页
- 第47页
- 第48页
- 第49页
- 第50页
- 第51页
- 第52页
- 第53页
- 第54页
- 第55页
- 第56页
- 第57页
- 第58页
- 第59页
- 第60页
- 第61页
- 第62页
- 第63页
- 第64页
- 第65页
- 第66页
- 第67页
- 第68页
- 第69页
- 第70页
- 第71页
例题: 用竖式计算并验算。

[例题探究]
1. 计算例题中左边的竖式。
(1)竖式计算。

(2)验算。
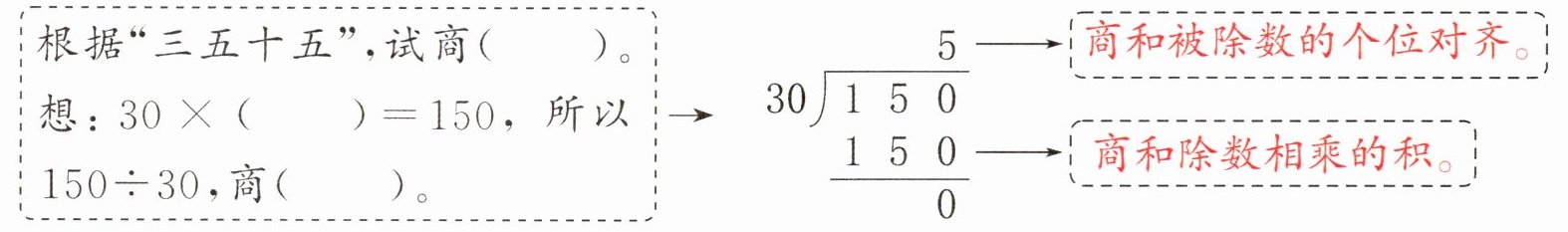
根据“除数×商+余数= 被除数”验算有余数的除法。

2. 计算例题中右边的竖式。
(1)思路分析。

(2)验算。
根据“除数×商= 被除数”验算没有余数的除法。

[例题探究]
1. 计算例题中左边的竖式。
(1)竖式计算。
(2)验算。
根据“除数×商+余数= 被除数”验算有余数的除法。
2. 计算例题中右边的竖式。
(1)思路分析。
(2)验算。
根据“除数×商= 被除数”验算没有余数的除法。
答案:
1. 4 4
2. 5 5 5
2. 5 5 5
查看更多完整答案,请扫码查看