2025年蓝天教育暑假优化学习三年级数学人教版
注:目前有些书本章节名称可能整理的还不是很完善,但都是按照顺序排列的,请同学们按照顺序仔细查找。练习册 2025年蓝天教育暑假优化学习三年级数学人教版 答案主要是用来给同学们做完题方便对答案用的,请勿直接抄袭。
1. 口算。
$22÷2=$ $24÷3=$ $900÷3=$ $36÷6=$
$48÷8=$ $49÷7=$ $64÷8=$ $72÷8=$
$22÷2=$ $24÷3=$ $900÷3=$ $36÷6=$
$48÷8=$ $49÷7=$ $64÷8=$ $72÷8=$
答案:
11;8;300;6;6;7;8;9
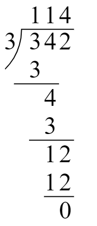
2. 列竖式计算下列各题,并验算。
$342÷3=$ $804÷5=$ $901÷6=$
$342÷3=$ $804÷5=$ $901÷6=$
答案:
@@
@@
1. 一年一般有365天,一个星期是7天。一年有多少个星期?还剩多少天?
答案:
52个,1天
2. 甲、乙两地相距420米,刘云每秒钟跑3米,他从甲地跑到乙地要用多长时间?
答案:
140秒
五、想一想,开动脑筋
阿华在计算一道除法算式时,把除数3错看成5,结果成了120。

阿华在计算一道除法算式时,把除数3错看成5,结果成了120。
答案:
200
查看更多完整答案,请扫码查看