2025年普通高中招生考试复习指导化学张掖专版
注:目前有些书本章节名称可能整理的还不是很完善,但都是按照顺序排列的,请同学们按照顺序仔细查找。练习册 2025年普通高中招生考试复习指导化学张掖专版 答案主要是用来给同学们做完题方便对答案用的,请勿直接抄袭。
第121页
- 第1页
- 第2页
- 第3页
- 第4页
- 第5页
- 第6页
- 第7页
- 第8页
- 第9页
- 第10页
- 第11页
- 第12页
- 第13页
- 第14页
- 第15页
- 第16页
- 第17页
- 第18页
- 第19页
- 第20页
- 第21页
- 第22页
- 第23页
- 第24页
- 第25页
- 第26页
- 第27页
- 第28页
- 第29页
- 第30页
- 第31页
- 第32页
- 第33页
- 第34页
- 第35页
- 第36页
- 第37页
- 第38页
- 第39页
- 第40页
- 第41页
- 第42页
- 第43页
- 第44页
- 第45页
- 第46页
- 第47页
- 第48页
- 第49页
- 第50页
- 第51页
- 第52页
- 第53页
- 第54页
- 第55页
- 第56页
- 第57页
- 第58页
- 第59页
- 第60页
- 第61页
- 第62页
- 第63页
- 第64页
- 第65页
- 第66页
- 第67页
- 第68页
- 第69页
- 第70页
- 第71页
- 第72页
- 第73页
- 第74页
- 第75页
- 第76页
- 第77页
- 第78页
- 第79页
- 第80页
- 第81页
- 第82页
- 第83页
- 第84页
- 第85页
- 第86页
- 第87页
- 第88页
- 第89页
- 第90页
- 第91页
- 第92页
- 第93页
- 第94页
- 第95页
- 第96页
- 第97页
- 第98页
- 第99页
- 第100页
- 第101页
- 第102页
- 第103页
- 第104页
- 第105页
- 第106页
- 第107页
- 第108页
- 第109页
- 第110页
- 第111页
- 第112页
- 第113页
- 第114页
- 第115页
- 第116页
- 第117页
- 第118页
- 第119页
- 第120页
- 第121页
- 第122页
- 第123页
- 第124页
- 第125页
- 第126页
- 第127页
- 第128页
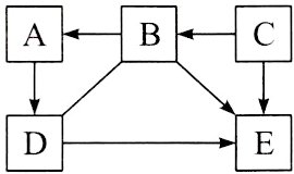
1.(2024·湖南益阳沅江市一模)已知 A、C 均为单质,且 A 是年产量最高的金属,C 是气体;B、D、E 均为氧化物,其中 D 是黑色固体,B 与 E 的组成元素相同且 B 有剧毒,它们之间的关系如图所示。(“—”表示能发生反应,“→”表示反应一步完成;部分反应物、生成物及反应条件已略)
(1)A 物质的化学式为__________。
(2)A 与 C 反应生成 D 的现象是____________。
(3)B 与 D 反应生成 E 的化学方程式为:____。
(1)A 物质的化学式为__________。
(2)A 与 C 反应生成 D 的现象是____________。
(3)B 与 D 反应生成 E 的化学方程式为:____。
答案:
(1)Fe(铁)
(2)剧烈燃烧,火星四射,生成黑色固体
(3)$Fe_{3}O_{4}+4CO\xlongequal{高温}3Fe + 4CO_{2}$
(1)Fe(铁)
(2)剧烈燃烧,火星四射,生成黑色固体
(3)$Fe_{3}O_{4}+4CO\xlongequal{高温}3Fe + 4CO_{2}$
2.(2024·天津河北区二模)某白色固体 A 可能由$Na_{2}SO_{4}$、$Na_{2}CO_{3}$、$MgCl_{2}$、$Ba(OH)_{2}$中的一种或几种物质组成,为确定其成分,按下列流程进行实验。
回答下列问题:
(1)白色沉淀 H 的化学式为__________。
(2)写出生成白色沉淀 F 的化学方程式:____。
(3)白色固体 A 的成分是____________________(填化学式)。
回答下列问题:
(1)白色沉淀 H 的化学式为__________。
(2)写出生成白色沉淀 F 的化学方程式:____。
(3)白色固体 A 的成分是____________________(填化学式)。
答案:
(1)$AgCl$
(2)$CO_{2}+Ba(OH)_{2}=BaCO_{3}\downarrow +H_{2}O$
(3)$NaCl$、$MgCl_{2}$、$Ba(OH)_{2}$
(1)$AgCl$
(2)$CO_{2}+Ba(OH)_{2}=BaCO_{3}\downarrow +H_{2}O$
(3)$NaCl$、$MgCl_{2}$、$Ba(OH)_{2}$
3.(2024·山东济宁嘉祥县一模)某$pH = 1$的无色溶液中可能含有$Cu^{2 + }$、$Na^{+}$、$SO_{4}^{2 - }$、$CO_{3}^{2 - }$、$NO_{3}^{-}$等离子中的一种或几种,为了检验该溶液中含有的离子,进行如下实验并分析:
(1)该溶液$pH = 1$,证明不存在的离子是__________(填离子符号)。
(2)取少量该溶液于试管中,滴加适量$BaCl_{2}$溶液,产生白色沉淀。写出该反应的化学方程式:______________________________。
(3)该溶液中一定存在的离子是____________(填离子符号,下同),可能存在的离子是____。
(1)该溶液$pH = 1$,证明不存在的离子是__________(填离子符号)。
(2)取少量该溶液于试管中,滴加适量$BaCl_{2}$溶液,产生白色沉淀。写出该反应的化学方程式:______________________________。
(3)该溶液中一定存在的离子是____________(填离子符号,下同),可能存在的离子是____。
答案:
(1)$CO_{3}^{2 - }$
(2)$BaCl_{2}+H_{2}SO_{4}=BaSO_{4}\downarrow +2HCl$
(3)$SO_{4}^{2 - }$、$H^{ + }$ $Na^{ + }$、$NO_{3}^{-}$
(1)$CO_{3}^{2 - }$
(2)$BaCl_{2}+H_{2}SO_{4}=BaSO_{4}\downarrow +2HCl$
(3)$SO_{4}^{2 - }$、$H^{ + }$ $Na^{ + }$、$NO_{3}^{-}$
查看更多完整答案,请扫码查看