2025年激活思维智能训练八年级生物下册人教版
注:目前有些书本章节名称可能整理的还不是很完善,但都是按照顺序排列的,请同学们按照顺序仔细查找。练习册 2025年激活思维智能训练八年级生物下册人教版 答案主要是用来给同学们做完题方便对答案用的,请勿直接抄袭。
6. 下列关于动植物的生殖与发育的叙述中,描述正确的是( )
A. 利用土豆的块茎和莲的地下茎繁殖均属于有性生殖
B. 蝗虫的发育包括卵、若虫、成虫三个阶段,属于完全变态发育
C. 猫头鹰的卵壳具有保护作用,其上的气孔可以保证胚胎发育时进行气体交换
D. 雌蛙与雄蛙通过“抱对”完成生殖活动,蛙的发育从蝌蚪开始
A. 利用土豆的块茎和莲的地下茎繁殖均属于有性生殖
B. 蝗虫的发育包括卵、若虫、成虫三个阶段,属于完全变态发育
C. 猫头鹰的卵壳具有保护作用,其上的气孔可以保证胚胎发育时进行气体交换
D. 雌蛙与雄蛙通过“抱对”完成生殖活动,蛙的发育从蝌蚪开始
答案:
C
7. 下列生物发育过程中,不属于变态发育的是( )
A. 受精卵发育成蝌蚪再发育成青蛙
B. 蟋蟀的发育过程经过卵、若虫、成虫
C. 家兔发育的胚胎在子宫里发育
D. 家蚕的发育经过卵、幼虫、蛹、成虫
A. 受精卵发育成蝌蚪再发育成青蛙
B. 蟋蟀的发育过程经过卵、若虫、成虫
C. 家兔发育的胚胎在子宫里发育
D. 家蚕的发育经过卵、幼虫、蛹、成虫
答案:
C
8.(2021·东营)下列关于动物生殖和发育的叙述,正确的是( )
A. 不完全变态的昆虫能避免幼虫和成虫对食物和空间需求的矛盾
B. 家蚕进入蛹期后,所有的生命活动处于停滞状态
C. 青蛙抱对有利于提高体外受精率
D. 受精鸟卵的卵黄内含有细胞核,是孵化为雏鸟的重要结构
A. 不完全变态的昆虫能避免幼虫和成虫对食物和空间需求的矛盾
B. 家蚕进入蛹期后,所有的生命活动处于停滞状态
C. 青蛙抱对有利于提高体外受精率
D. 受精鸟卵的卵黄内含有细胞核,是孵化为雏鸟的重要结构
答案:
C
9.(2021·永州)如图阴影部分表示甲、乙两种动物生殖和发育的共同特征。下列有关阴影部分的叙述正确的是( )

A. 若甲是蝴蝶,乙是蝗虫,则可表示为完全变态发育
B. 若甲是蟒蛇,乙是家兔,则可表示为胎生
C. 若甲是青蛙,乙是家鸽,则可表示为卵生
D. 若甲是家蚕,乙是青蛙,则可表示为体内受精
A. 若甲是蝴蝶,乙是蝗虫,则可表示为完全变态发育
B. 若甲是蟒蛇,乙是家兔,则可表示为胎生
C. 若甲是青蛙,乙是家鸽,则可表示为卵生
D. 若甲是家蚕,乙是青蛙,则可表示为体内受精
答案:
C
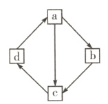
10.(2021·滨州)如图是动物的变态发育过程示意图,相关描述错误的是( )

A. 家蚕发育过程中不食不动的时期为b
B. 完全变态的农业害虫危害最严重的时期为a
C. 蝗虫的发育过程为d→a→c,属于不完全变态
D. 两栖动物的发育过程为d→a→b→c,属于完全变态
A. 家蚕发育过程中不食不动的时期为b
B. 完全变态的农业害虫危害最严重的时期为a
C. 蝗虫的发育过程为d→a→c,属于不完全变态
D. 两栖动物的发育过程为d→a→b→c,属于完全变态
答案:
D
11.(2021·铁岭)小明同学学习了嫁接的知识后,很想利用家里的一些花卉尝试嫁接的技术。他在网上查阅资料,发现蟹爪兰嫁接到仙人掌上,可以增强蟹爪兰吸收营养的能力,容易成活,开花多。如图是小明嫁接蟹爪兰的图片,请根据资料和图片回答下列问题:
(1)写出一个影响蟹爪兰开花的非生物因素______。
(2)根据图片所示,在生物学上将这种繁殖方式称为__________,蟹爪兰被称为______而仙人掌被称为______。
(3)小明嫁接的这盆花过了一周发现蟹爪兰的叶片陆续凋落,不久蟹爪兰都枯萎死去了,据此推断有可能的原因是小明在嫁接时蟹爪兰和仙人掌的__________没有紧密结合。
(1)写出一个影响蟹爪兰开花的非生物因素______。
(2)根据图片所示,在生物学上将这种繁殖方式称为__________,蟹爪兰被称为______而仙人掌被称为______。
(3)小明嫁接的这盆花过了一周发现蟹爪兰的叶片陆续凋落,不久蟹爪兰都枯萎死去了,据此推断有可能的原因是小明在嫁接时蟹爪兰和仙人掌的__________没有紧密结合。
答案:
(1)水分
(2)无性生殖 接穗 砧木
(3)形成层
(1)水分
(2)无性生殖 接穗 砧木
(3)形成层
查看更多完整答案,请扫码查看