2025年诚成教育学业评价九年级化学下册人教版
注:目前有些书本章节名称可能整理的还不是很完善,但都是按照顺序排列的,请同学们按照顺序仔细查找。练习册 2025年诚成教育学业评价九年级化学下册人教版 答案主要是用来给同学们做完题方便对答案用的,请勿直接抄袭。
第77页
- 第1页
- 第2页
- 第3页
- 第4页
- 第5页
- 第6页
- 第7页
- 第8页
- 第9页
- 第10页
- 第11页
- 第12页
- 第13页
- 第14页
- 第15页
- 第16页
- 第17页
- 第18页
- 第19页
- 第20页
- 第21页
- 第22页
- 第23页
- 第24页
- 第25页
- 第26页
- 第27页
- 第28页
- 第29页
- 第30页
- 第31页
- 第32页
- 第33页
- 第34页
- 第35页
- 第36页
- 第37页
- 第38页
- 第39页
- 第40页
- 第41页
- 第42页
- 第43页
- 第44页
- 第45页
- 第46页
- 第47页
- 第48页
- 第49页
- 第50页
- 第51页
- 第52页
- 第53页
- 第54页
- 第55页
- 第56页
- 第57页
- 第58页
- 第59页
- 第60页
- 第61页
- 第62页
- 第63页
- 第64页
- 第65页
- 第66页
- 第67页
- 第68页
- 第69页
- 第70页
- 第71页
- 第72页
- 第73页
- 第74页
- 第75页
- 第76页
- 第77页
23.生活中处处有化学,通过一年的化学学习,相信你能利用所学的知识回答以下问题。
(1)碘酒中的溶剂是________(写化学式)。
(2)下列物质溶解或稀释过程中,溶液温度没有明显改变的是________(填序号)。
A.氢氧化钠 B.硝酸铵 C.蔗糖 D.食盐
(3)露置在空气中会潮解且会变质的是________。
(4)请说出一种复合肥________。
(1)碘酒中的溶剂是________(写化学式)。
(2)下列物质溶解或稀释过程中,溶液温度没有明显改变的是________(填序号)。
A.氢氧化钠 B.硝酸铵 C.蔗糖 D.食盐
(3)露置在空气中会潮解且会变质的是________。
(4)请说出一种复合肥________。
答案:
(1)$C_{2}H_{5}OH$
(2)CD
(3)NaOH
(4)$KNO_{3}$[或$NH_{4}H_{2}PO_{4}$或$(NH_{4})_{2}HPO_{4}$]
(1)$C_{2}H_{5}OH$
(2)CD
(3)NaOH
(4)$KNO_{3}$[或$NH_{4}H_{2}PO_{4}$或$(NH_{4})_{2}HPO_{4}$]
24.请根据如图$a$、$b$、$c$三种固体物质的溶解度曲线,回答下列问题。
(1)在 ℃时,$a$、$c$两种物质的溶解度相等。
(2)在$t₂℃$时,向盛有50 $g$ $a$物质的烧杯中加入50 $g$水,充分溶解后,所得溶液的质量为 $g$。
(3)若$a$物质中混有少量$b$物质,最好采用 (填“降温结晶”或“蒸发结晶$”)$的方法提纯$a$。
$(4)t₂℃$时,$a$、$b$、$c$三种物质的饱和溶液各100 $g$,所含溶剂的质量由大到小的顺序是 。

(1)在 ℃时,$a$、$c$两种物质的溶解度相等。
(2)在$t₂℃$时,向盛有50 $g$ $a$物质的烧杯中加入50 $g$水,充分溶解后,所得溶液的质量为 $g$。
(3)若$a$物质中混有少量$b$物质,最好采用 (填“降温结晶”或“蒸发结晶$”)$的方法提纯$a$。
$(4)t₂℃$时,$a$、$b$、$c$三种物质的饱和溶液各100 $g$,所含溶剂的质量由大到小的顺序是 。
答案:
(1)$t_{1}$
(2)75
(3)降温结晶
(4)$c>b>a$(或 cba)
(1)$t_{1}$
(2)75
(3)降温结晶
(4)$c>b>a$(或 cba)
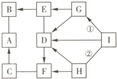
$25.(2023·$铁峰区一模)图中$A~I$是初中化学常见的物质,其中$F$为单质,其余均为化合物。$C$
是赤铁矿的主要成分$;A$常用于灭火$;D$是最常见的溶剂$;G$常用作补钙剂;反应①和反应②的
基本反应类型相同。图中“—”表示两端的物质间能发生化学反应;“→”表示物质间存在转化
关系;部分反应物 .成物或反应条件已略去。
$(1)A$的化学式为$________,E$的俗称为________。
$(2)B$的用途之一是________________。
(3)写出$I→G$反应的化学方程式____________________________。
$(4)C$与$F$反应的基本反应类型为____________。
是赤铁矿的主要成分$;A$常用于灭火$;D$是最常见的溶剂$;G$常用作补钙剂;反应①和反应②的
基本反应类型相同。图中“—”表示两端的物质间能发生化学反应;“→”表示物质间存在转化
关系;部分反应物 .成物或反应条件已略去。
$(1)A$的化学式为$________,E$的俗称为________。
$(2)B$的用途之一是________________。
(3)写出$I→G$反应的化学方程式____________________________。
$(4)C$与$F$反应的基本反应类型为____________。
答案:
(1)$CO_{2}$ 生石灰
(2)改良酸性土壤(或配制农药波尔多液或作建筑材料等)(合理即可)
(3)$Na_{2}CO_{3}+Ca(OH)_{2}=CaCO_{3}\downarrow +2NaOH$(合理即可)
(4)置换反应
(1)$CO_{2}$ 生石灰
(2)改良酸性土壤(或配制农药波尔多液或作建筑材料等)(合理即可)
(3)$Na_{2}CO_{3}+Ca(OH)_{2}=CaCO_{3}\downarrow +2NaOH$(合理即可)
(4)置换反应
26.(提升练)从盐湖中提取的某种矿物主要含有$KCl$,还有少量$MgSO₄$、$CaCl₂$及不溶性杂质
$SiO₂$。从该矿物中提取$KCl$的流程如下图所示:
回答下列问题。
(1)滤渣$I$的主要成分是__________________。
$(2)Y$溶液中溶质的化学式为____________。
(3)向滤液$II$中加入过量盐酸的目的是______________________________。
(4)蒸发溶液得到的$KCl$固体的过程中,要用玻璃棒不断搅拌,目的是______________________。
$SiO₂$。从该矿物中提取$KCl$的流程如下图所示:
回答下列问题。
(1)滤渣$I$的主要成分是__________________。
$(2)Y$溶液中溶质的化学式为____________。
(3)向滤液$II$中加入过量盐酸的目的是______________________________。
(4)蒸发溶液得到的$KCl$固体的过程中,要用玻璃棒不断搅拌,目的是______________________。
答案:
(1)硫酸钡、氢氧化镁
(2)$K_{2}CO_{3}$
(3)除去溶液中的氢氧化钾和碳酸钾
(4)防止因局部温度过高,造成液滴飞溅
(1)硫酸钡、氢氧化镁
(2)$K_{2}CO_{3}$
(3)除去溶液中的氢氧化钾和碳酸钾
(4)防止因局部温度过高,造成液滴飞溅
查看更多完整答案,请扫码查看