| | $y = ax^{2}(a>0)$ |
|--|--|
| 图象 | 开口向上,关于______对称,对称轴与图象的交点是原点(0,0) |
| 性质 | 当$x<0$时,$y$随$x$的增大而______;当$x>0$时,$y$随$x$的增大而______;当$x = 0$时,函数值最小,最小值为______ |
| |
|--|--|
| 图象 | 开口向上,关于______对称,对称轴与图象的交点是原点(0,0) |
| 性质 | 当$x<0$时,$y$随$x$的增大而______;当$x>0$时,$y$随$x$的增大而______;当$x = 0$时,函数值最小,最小值为______ |
| |
答案:
y轴 减小 增大 0
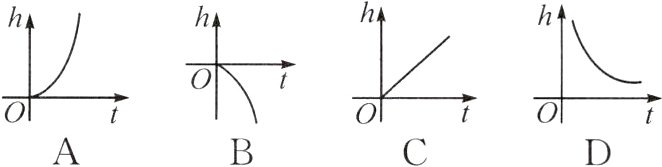
1. 已知$h$关于$t$的函数关系式为$h=\frac{1}{2}t^{2}(t>0)$,则该函数的大致图象为( )
答案:
A
2. 下列各点在二次函数$y = 3x^{2}$的图象上的是( )
A. (3,3)
B. (3,1)
C. (1,3)
D. (-1,-3)
A. (3,3)
B. (3,1)
C. (1,3)
D. (-1,-3)
答案:
C
3. 关于二次函数$y = 6x^{2}$,下列说法正确的是( )
A. 无论$x$为何实数,$y$的值总为正数
B. 图象关于$y$轴对称
C. $y$随$x$的增大而增大
D. 图象在第一、三象限内
A. 无论$x$为何实数,$y$的值总为正数
B. 图象关于$y$轴对称
C. $y$随$x$的增大而增大
D. 图象在第一、三象限内
答案:
B
4. 已知点$A(-1,y_{1})$,$B(-2,y_{2})$都在抛物线$y = 5x^{2}$上,则$y_{1}$,$y_{2}$的大小关系是( )
A. $y_{1}>y_{2}$
B. $y_{1}=y_{2}$
C. $y_{1}<y_{2}$
D. 无法确定
A. $y_{1}>y_{2}$
B. $y_{1}=y_{2}$
C. $y_{1}<y_{2}$
D. 无法确定
答案:
C
5. 已知二次函数$y=\frac{1}{3}x^{2}$的图象如图所示,线段$AB// x$轴,交抛物线于$A$,$B$两点,且点$A$的横坐标为3,则$AB$的长为______.
答案:
6
6. 画出二次函数$y=\frac{1}{4}x^{2}$的图象.
答案:
解:列表:
|$x$|0|2|4|…|
|----|----|----|----|----|
|$y=\frac{1}{4}x^{2}$|0|1|4|…|
描点、连线,画出图象在y轴右边的部分.利用对称性,画出图象在y轴左边的部分.函数图象如图所示.

解:列表:
|$x$|0|2|4|…|
|----|----|----|----|----|
|$y=\frac{1}{4}x^{2}$|0|1|4|…|
描点、连线,画出图象在y轴右边的部分.利用对称性,画出图象在y轴左边的部分.函数图象如图所示.
查看更多完整答案,请扫码查看