1.填空。(主要对应目标:4303)
(1)18×4的积是( ),把18缩小到它的$\frac{1}{10}$,把4也缩小到它的$\frac{1}{10}$,它们的积就缩小到原来的( ),是( )。
(2)0.37×4.9的积是( )位小数;5.2×3.8的积是( )位小数。
(3)新题型 仔细想一想,填一填。
①两个数相乘,把两个数都扩大到原数的10倍,这时新的积是原来的( )。
②两个乘数的积是6.27,把其中一个乘数缩小到原数的$\frac{1}{100}$,另一个乘数扩大到原数的10倍,这时积为( )。
③在一个乘法算式中,如果把一个乘数扩大到原数的100倍,另一个乘数缩小到原数的$\frac{1}{10}$,得到的新的积是42.12,那么原来的积是( )。
(1)18×4的积是( ),把18缩小到它的$\frac{1}{10}$,把4也缩小到它的$\frac{1}{10}$,它们的积就缩小到原来的( ),是( )。
(2)0.37×4.9的积是( )位小数;5.2×3.8的积是( )位小数。
(3)新题型 仔细想一想,填一填。
①两个数相乘,把两个数都扩大到原数的10倍,这时新的积是原来的( )。
②两个乘数的积是6.27,把其中一个乘数缩小到原数的$\frac{1}{100}$,另一个乘数扩大到原数的10倍,这时积为( )。
③在一个乘法算式中,如果把一个乘数扩大到原数的100倍,另一个乘数缩小到原数的$\frac{1}{10}$,得到的新的积是42.12,那么原来的积是( )。
答案:
(1)72 $\frac{1}{100}$ 0.72
(2)三 两
(3)①100倍 ②0.627 ③4.212
(1)72 $\frac{1}{100}$ 0.72
(2)三 两
(3)①100倍 ②0.627 ③4.212
2.丽丽的计算器上的小数点无法显示了,你能帮她写出正确的得数吗?(主要对应目标:4303)

答案:
9.254 0.0108 4.25
3.在括号里填上合适的数。(主要对应目标:4303)
0.32×16 = 1.6×( )
( )×2.6 = 4.8×26
2.7×1.5 = 27×( )
2.4×120 = 0.12×( )
0.32×16 = 1.6×( )
( )×2.6 = 4.8×26
2.7×1.5 = 27×( )
2.4×120 = 0.12×( )
答案:
3.2 48 0.15 2400
4.根据37×21 = 777,在□里填上合适的数。(主要对应目标:4303)
答案:
3.7 21 37 2.1 3.7 0.21 370 2.1 (答案均不唯一)
5.新角度 冬冬在做一道乘法题时,把其中的一个乘数3.6看成了36,算得的积为6.48。正确的积是多少?请写出你的思考过程。(主要对应目标:4303)
答案:
答:正确的积是0.648。因为把3.6看成36是扩大到原数的10倍,所以最终结果的小数点要向左移一位才正确。
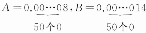
6.已知
求:A×B的值。(主要对应目标:4303)
答案:
8×14=112 $A×B = 0.\underbrace{00\cdots0}_{100个0}112$
查看更多完整答案,请扫码查看