2025年自主学习能力测评单元测试四年级数学上册苏教版
注:目前有些书本章节名称可能整理的还不是很完善,但都是按照顺序排列的,请同学们按照顺序仔细查找。练习册 2025年自主学习能力测评单元测试四年级数学上册苏教版 答案主要是用来给同学们做完题方便对答案用的,请勿直接抄袭。
3. 照样子,运用商不变的性质进行简便运算。(6分)
$600÷25$ $800÷25$ $900÷25$
$=(600×4)÷(25×4)$
$=2400÷100$
$=24$
$600÷25$ $800÷25$ $900÷25$
$=(600×4)÷(25×4)$
$=2400÷100$
$=24$
答案:
3.32 36
四、先找出错在哪,再改正。(共8分)


(1) $\begin{array}{r}42\\15\enclose{longdiv}{63}\\60\\\hline30\\30\\\hline0\end{array}$ 改正:


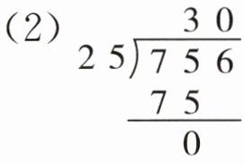
(2) $\begin{array}{r}30\\25\enclose{longdiv}{756}\\75\\\hline0\end{array}$ 改正:
(3) $\begin{array}{r}6\\27\enclose{longdiv}{192}\\162\\\hline30\end{array}$ 改正:
(4) $\begin{array}{r}8\\53\enclose{longdiv}{422}\\424\\\hline2\end{array}$ 改正:
(1) $\begin{array}{r}42\\15\enclose{longdiv}{63}\\60\\\hline30\\30\\\hline0\end{array}$ 改正:
(2) $\begin{array}{r}30\\25\enclose{longdiv}{756}\\75\\\hline0\end{array}$ 改正:
(3) $\begin{array}{r}6\\27\enclose{longdiv}{192}\\162\\\hline30\end{array}$ 改正:
(4) $\begin{array}{r}8\\53\enclose{longdiv}{422}\\424\\\hline2\end{array}$ 改正:
答案:
(1) 错误:被除数为63,错将余数3当作30继续除,商错误为42。
改正:$\begin{array}{r}4\\15\enclose{longdiv}{63}\\60\\\hline3\end{array}$
(2) 错误:除到十位后,未将个位6落下来继续除,余数错误为0。
改正:$\begin{array}{r}30\\25\enclose{longdiv}{756}\\75\\\hline6\end{array}$
(3) 错误:余数30大于除数27,商6偏小。
改正:$\begin{array}{r}7\\27\enclose{longdiv}{192}\\189\\\hline3\end{array}$
(4) 错误:商8时,53×8=424>422,商偏大。
改正:$\begin{array}{r}7\\53\enclose{longdiv}{422}\\371\\\hline51\end{array}$
(1) 错误:被除数为63,错将余数3当作30继续除,商错误为42。
改正:$\begin{array}{r}4\\15\enclose{longdiv}{63}\\60\\\hline3\end{array}$
(2) 错误:除到十位后,未将个位6落下来继续除,余数错误为0。
改正:$\begin{array}{r}30\\25\enclose{longdiv}{756}\\75\\\hline6\end{array}$
(3) 错误:余数30大于除数27,商6偏小。
改正:$\begin{array}{r}7\\27\enclose{longdiv}{192}\\189\\\hline3\end{array}$
(4) 错误:商8时,53×8=424>422,商偏大。
改正:$\begin{array}{r}7\\53\enclose{longdiv}{422}\\371\\\hline51\end{array}$
1. 王阿姨带860元去买沙糕,一共可以买多少盒? (4分)

答案:
1.860÷50=17(盒)······10(元)
查看更多完整答案,请扫码查看