第38页
- 第1页
- 第2页
- 第3页
- 第4页
- 第5页
- 第6页
- 第7页
- 第8页
- 第9页
- 第10页
- 第11页
- 第12页
- 第13页
- 第14页
- 第15页
- 第16页
- 第17页
- 第18页
- 第19页
- 第20页
- 第21页
- 第22页
- 第23页
- 第24页
- 第25页
- 第26页
- 第27页
- 第28页
- 第29页
- 第30页
- 第31页
- 第32页
- 第33页
- 第34页
- 第35页
- 第36页
- 第37页
- 第38页
- 第39页
- 第40页
- 第41页
- 第42页
- 第43页
- 第44页
- 第45页
- 第46页
- 第47页
- 第48页
- 第49页
- 第50页
- 第51页
- 第52页
- 第53页
- 第54页
- 第55页
- 第56页
- 第57页
- 第58页
- 第59页
- 第60页
- 第61页
- 第62页
- 第63页
- 第64页
- 第65页
- 第66页
- 第67页
- 第68页
- 第69页
- 第70页
- 第71页
- 第72页
5. 在○里填“+”或“-”,使算式成立。
6○4○3= 5
2○3○4= 9
5○2○6= 1
8○3○4= 1
9○7○4= 6
6○2○5= 3
6○4○3= 5
2○3○4= 9
5○2○6= 1
8○3○4= 1
9○7○4= 6
6○2○5= 3
答案:
1. 对于$6◯4◯3 = 5$:
先尝试$6 - 4+3$,$6−4 + 3=2 + 3=5$,所以填$-$,$+$。
2. 对于$2◯3◯4 = 9$:
先尝试$2+3 + 4$,$2 + 3+4=5 + 4=9$,所以填$+$,$+$。
3. 对于$5◯2◯6 = 1$:
先尝试$5+2−6$,$5 + 2−6=7−6 = 1$,所以填$+$,$-$。
4. 对于$8◯3◯4 = 1$:
先尝试$8−3−4$,$8−3−4=5−4 = 1$,所以填$-$,$-$。
5. 对于$9◯7◯4 = 6$:
先尝试$9−7+4$,$9−7 + 4=2 + 4=6$,所以填$-$,$+$。
6. 对于$6◯2◯5 = 3$:
先尝试$6+2−5$,$6 + 2−5=8−5 = 3$,所以填$+$,$-$。
综上,答案依次为:$-$,$+$;$+$,$+$;$+$,$-$;$-$,$-$;$-$,$+$;$+$,$-$。
先尝试$6 - 4+3$,$6−4 + 3=2 + 3=5$,所以填$-$,$+$。
2. 对于$2◯3◯4 = 9$:
先尝试$2+3 + 4$,$2 + 3+4=5 + 4=9$,所以填$+$,$+$。
3. 对于$5◯2◯6 = 1$:
先尝试$5+2−6$,$5 + 2−6=7−6 = 1$,所以填$+$,$-$。
4. 对于$8◯3◯4 = 1$:
先尝试$8−3−4$,$8−3−4=5−4 = 1$,所以填$-$,$-$。
5. 对于$9◯7◯4 = 6$:
先尝试$9−7+4$,$9−7 + 4=2 + 4=6$,所以填$-$,$+$。
6. 对于$6◯2◯5 = 3$:
先尝试$6+2−5$,$6 + 2−5=8−5 = 3$,所以填$+$,$-$。
综上,答案依次为:$-$,$+$;$+$,$+$;$+$,$-$;$-$,$-$;$-$,$+$;$+$,$-$。
6. 先说说图的意思,再用算式表示出来。

答案:
6. 8-3-2=3
4+1+2=7
9-2-3=4
4+1+2=7
9-2-3=4
7. 想一想,算一算。
★=2 ●= 3 ■= 4 ▲= 5
★+▲-■= ( )
●+■+★= ( )
▲-●+■= ( )
★=2 ●= 3 ■= 4 ▲= 5
★+▲-■= ( )
●+■+★= ( )
▲-●+■= ( )
答案:
1. 计算$★ + ▲-■$:
已知$★ = 2$,$▲ = 5$,$■ = 4$,则$★+▲ - ■=2 + 5-4$。
根据整数加减法运算顺序,从左到右依次计算:$2 + 5-4=(2 + 5)-4=7 - 4 = 3$。
2. 计算$●+■+★$:
已知$● = 3$,$■ = 4$,$★ = 2$,则$●+■+★=3 + 4+2$。
根据整数加法运算顺序,从左到右依次计算:$3 + 4+2=(3 + 4)+2=7 + 2 = 9$。
3. 计算$▲-●+■$:
已知$▲ = 5$,$● = 3$,$■ = 4$,则$▲-●+■=5 - 3+4$。
根据整数加减法运算顺序,从左到右依次计算:$5 - 3+4=(5 - 3)+4=2 + 4 = 6$。
故答案依次为:$3$;$9$;$6$。
已知$★ = 2$,$▲ = 5$,$■ = 4$,则$★+▲ - ■=2 + 5-4$。
根据整数加减法运算顺序,从左到右依次计算:$2 + 5-4=(2 + 5)-4=7 - 4 = 3$。
2. 计算$●+■+★$:
已知$● = 3$,$■ = 4$,$★ = 2$,则$●+■+★=3 + 4+2$。
根据整数加法运算顺序,从左到右依次计算:$3 + 4+2=(3 + 4)+2=7 + 2 = 9$。
3. 计算$▲-●+■$:
已知$▲ = 5$,$● = 3$,$■ = 4$,则$▲-●+■=5 - 3+4$。
根据整数加减法运算顺序,从左到右依次计算:$5 - 3+4=(5 - 3)+4=2 + 4 = 6$。
故答案依次为:$3$;$9$;$6$。
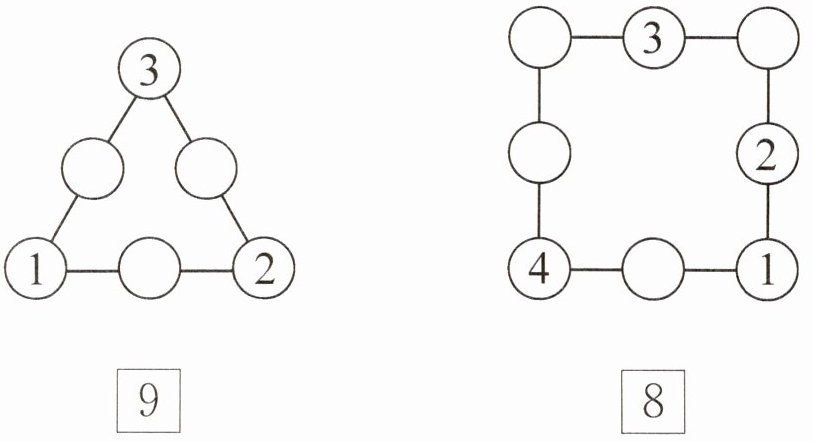
在○里填数,使每条线上三个数连加的和都等于下面□里的数。

答案:
左边三角形○里的数(从左到右,从上到下):5,6,4;
右边四边形○里的数(从左到右,从上到下):0,5,4,3。
右边四边形○里的数(从左到右,从上到下):0,5,4,3。
查看更多完整答案,请扫码查看