2. 我会填。
(1)12 个 303 是(
(2)220 的 60 倍是(
(3)最大的两位数是(
(4)一个因数的末尾有两个 0,积的末尾至少有(
(5)计算 $49 × 70$ 时,可先算(
(1)12 个 303 是(
3636
)。(2)220 的 60 倍是(
13200
),36 个 207 的和是(7452
)。(3)最大的两位数是(
99
),最小的三位数是(100
),它们的积是(9900
)。(4)一个因数的末尾有两个 0,积的末尾至少有(
两
)个 0。(5)计算 $49 × 70$ 时,可先算(
49
)$×$(7
),再在乘得的数(343
)的末尾添上(一
)个 0,最后得(3430
)。
答案:
2.
(1)3636
(2)13200 7452
(3)99 100 9900
(4)两
(5)49 7 343 一 3430
(1)3636
(2)13200 7452
(3)99 100 9900
(4)两
(5)49 7 343 一 3430
3. 笔算下面各题。

$\begin{array}{ll}\begin{array}{r}820 \\×\ \ \ 20 \\\hline\end{array} &\begin{array}{r}290 \\×\ \ 34 \\\hline\end{array} \\\begin{array}{r}406 \\×\ \ \ 27 \\\hline\end{array} &\begin{array}{r}705 \\×\ \ \ 30 \\\hline\end{array} \\\end{array}$
$\begin{array}{ll}\begin{array}{r}820 \\×\ \ \ 20 \\\hline\end{array} &\begin{array}{r}290 \\×\ \ 34 \\\hline\end{array} \\\begin{array}{r}406 \\×\ \ \ 27 \\\hline\end{array} &\begin{array}{r}705 \\×\ \ \ 30 \\\hline\end{array} \\\end{array}$
答案:
3. 16400 9860 10962 21150
4. 连一连(把得数相等的式子用线连起来)。

$\begin{array}{ll}\begin{array}{l}250 × 30 \\50 × 63 \\33 × 110 \\\end{array} &\begin{array}{l}105 × 30 \\30 × 121 \\150 × 50 \\\end{array} \\\end{array}$
$\begin{array}{ll}\begin{array}{l}250 × 30 \\50 × 63 \\33 × 110 \\\end{array} &\begin{array}{l}105 × 30 \\30 × 121 \\150 × 50 \\\end{array} \\\end{array}$
答案:
4. 250×30 105×30
50×63 交叉线 30×121
33×110 150×50
4. 250×30 105×30
50×63 交叉线 30×121
33×110 150×50
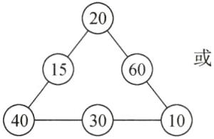
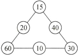
5. 将 10,15,20,30,40,60 填入下图的圆圈内,使三角形每条边上的三个数的积都相等。

答案:
5.


答案不唯一,但每条边上的积只能是12000或18000。
5.
答案不唯一,但每条边上的积只能是12000或18000。
1. 算一算,填一填。

| | | |
| --- | --- | --- |
| 340 | ×17 | |
| 720 | ×35 | |
| 409 | ×21 | |
| 503 | ×40 | |
| | | |
| --- | --- | --- |
| 340 | ×17 | |
| 720 | ×35 | |
| 409 | ×21 | |
| 503 | ×40 | |
答案:
1 5780 25200 8589 20120
查看更多完整答案,请扫码查看