第45页
- 第2页
- 第3页
- 第4页
- 第5页
- 第6页
- 第7页
- 第8页
- 第9页
- 第10页
- 第11页
- 第12页
- 第13页
- 第14页
- 第15页
- 第16页
- 第17页
- 第18页
- 第19页
- 第20页
- 第21页
- 第22页
- 第23页
- 第24页
- 第25页
- 第26页
- 第27页
- 第28页
- 第29页
- 第30页
- 第31页
- 第32页
- 第33页
- 第34页
- 第35页
- 第36页
- 第37页
- 第38页
- 第39页
- 第40页
- 第41页
- 第42页
- 第43页
- 第44页
- 第45页
- 第46页
- 第47页
- 第48页
- 第49页
- 第50页
- 第51页
- 第52页
- 第53页
- 第54页
- 第55页
- 第56页
- 第57页
- 第58页
- 第59页
- 第60页
- 第61页
- 第62页
- 第63页
- 第64页
- 第65页
- 第66页
- 第67页
五、看图填空。

1 5 平衡 8 8 1 1 3 2
答案:
1 5 平衡 8 8 1 1 3 2
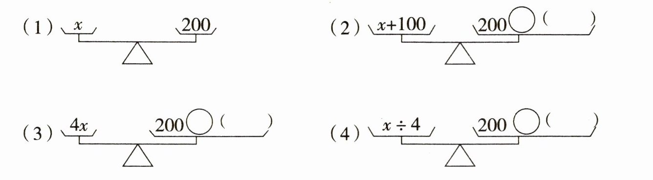
六、根据图(1)在下面每幅图的圆圈和括号里填上适当的符号和数字,使天平平衡。

(2)
(2)
+100
(3)×4
(4)÷4
答案:
(2)+100 (3)×4 (4)÷4
七、用方程表示下面的数量关系。
1.

方程:
2.

方程:
3.

方程:
4.

方程:
5. 张老师用$800元钱买了a$个足球,每个足球$50$元。
方程:
1.
方程:
x+3=2×3+0.5
2.
方程:
5x=80
3.
方程:
3x+15.7=30.7
4.
方程:
2x=1.8
5. 张老师用$800元钱买了a$个足球,每个足球$50$元。
方程:
50a=800
答案:
1. x+3=2×3+0.5 2. 5x=80 3. 3x+15.7=30.7 4. 2x=1.8 5. 50a=800
查看更多完整答案,请扫码查看