2025年世纪金榜新视野暑假作业高一生物
注:目前有些书本章节名称可能整理的还不是很完善,但都是按照顺序排列的,请同学们按照顺序仔细查找。练习册 2025年世纪金榜新视野暑假作业高一生物 答案主要是用来给同学们做完题方便对答案用的,请勿直接抄袭。
15.如图为高等动物的体内细胞与外界环境的物质交换示意图,下列叙述正确的是 (
C
)
答案:
C $ O_2 $ 从红细胞进入肝细胞中发挥作用需要经过红细胞的 1 层膜、毛细血管壁细胞的 2 层膜、肝细胞的 1 层细胞膜、线粒体的 2 层膜,共 6 层生物膜,由于生物膜是由磷脂双分子层构成的,所以共经过 12 层磷脂分子层,A 错误;体液包括细胞内液和细胞外液,细胞外液也叫内环境,内环境约占体液的 1/3,细胞内液约占体液的 2/3,B 错误;①可以代表消化系统,食物经过消化吸收进入内环境,③可以代表泌尿系统,代谢废物可通过泌尿系统排出,C 正确;单细胞生物通过细胞膜直接与外界进行物质交换,D 错误。
16.(15分)据图回答下列问题:

(1)若某人长期营养不良,血浆中蛋白质减少,会引起图甲中
(2)图乙中⑦内的液体约占人体体液的
(3)血液中的氧被组织细胞利用经过的途径为(用图乙中的数字表示)
(1)若某人长期营养不良,血浆中蛋白质减少,会引起图甲中
B
中的液体增多,其结果将会引起组织水肿
,其水的来源为C、A
(填序号),通过b 细胞膜、a 毛细血管壁
(填序号和名称)结构转移。(2)图乙中⑦内的液体约占人体体液的
2/3
;④的渗透压大小主要与无机盐、蛋白质
的含量有关。(3)血液中的氧被组织细胞利用经过的途径为(用图乙中的数字表示)
⑤→④→③→⑥→⑦
,共穿过6
层膜结构$,CO_2$浓度最高的为图乙中的[⑦]组织细胞
。
答案:
(1)B 组织水肿 C、A b 细胞膜、a 毛细血管壁
(2)2/3 无机盐、蛋白质
(3)⑤→④→③→⑥→⑦ 6 [⑦]组织细胞
(1)B 组织水肿 C、A b 细胞膜、a 毛细血管壁
(2)2/3 无机盐、蛋白质
(3)⑤→④→③→⑥→⑦ 6 [⑦]组织细胞
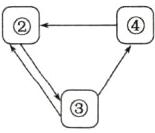
17.(10分)如图为体内细胞和内环境之间物质交换示意图:

(1)人体的内环境是一个有机统一的整体,请用箭头和图中的标号表示内环境组成成分之间物质交换的关系。
(2)此图表示细胞与周围环境之间的关系,其中毛细血管管壁细胞生活的具体内环境是 (填标号)。
(3)如果该图为肝脏组织局部结构模式图,那么在饥饿状态下,B端与A端液体相比,明显增加的物质是 。
(4)维持内环境渗透压的Na⁺、氨基酸等物质进入内环境要经过 等系统(写出两个)。
(5)血浆、组织液和淋巴液三者之间既有密切关系,又有一定区别。一般情况下,②与③成分上的主要区别是 。
(6)血浆的渗透压主要与 的含量有关。
(1)人体的内环境是一个有机统一的整体,请用箭头和图中的标号表示内环境组成成分之间物质交换的关系。
(2)此图表示细胞与周围环境之间的关系,其中毛细血管管壁细胞生活的具体内环境是 (填标号)。
(3)如果该图为肝脏组织局部结构模式图,那么在饥饿状态下,B端与A端液体相比,明显增加的物质是 。
(4)维持内环境渗透压的Na⁺、氨基酸等物质进入内环境要经过 等系统(写出两个)。
(5)血浆、组织液和淋巴液三者之间既有密切关系,又有一定区别。一般情况下,②与③成分上的主要区别是 。
(6)血浆的渗透压主要与 的含量有关。
答案:
(1)如图所示:
(2)②③
(3)葡萄糖
(4)消化系统、循环系统
(5)②中蛋白质含量多于③
(6)无机盐、蛋白质
(1)如图所示:
(2)②③
(3)葡萄糖
(4)消化系统、循环系统
(5)②中蛋白质含量多于③
(6)无机盐、蛋白质
查看更多完整答案,请扫码查看