第8页
- 第1页
- 第2页
- 第3页
- 第4页
- 第5页
- 第6页
- 第7页
- 第8页
- 第9页
- 第10页
- 第11页
- 第12页
- 第13页
- 第14页
- 第15页
- 第16页
- 第17页
- 第18页
- 第19页
- 第20页
- 第21页
- 第22页
- 第23页
- 第24页
- 第25页
- 第26页
- 第27页
- 第28页
- 第29页
- 第30页
- 第31页
- 第32页
- 第33页
- 第34页
- 第35页
- 第36页
- 第37页
- 第38页
- 第39页
- 第40页
- 第41页
- 第42页
- 第43页
- 第44页
- 第45页
- 第46页
- 第47页
- 第48页
- 第49页
- 第50页
- 第51页
- 第52页
- 第53页
- 第54页
- 第55页
- 第56页
- 第57页
- 第58页
- 第59页
- 第60页
- 第61页
- 第62页
- 第63页
- 第64页
- 第65页
- 第66页
- 第67页
- 第68页
- 第69页
- 第70页
- 第71页
- 第72页
- 第73页
- 第74页
1. 根据下表列出相应的综合算式,并计算。
|被减数|35 + 17|80|
|减数|28|6×7|


|被除数|83 - 27|54|
|除数|8|3×2|
|被减数|35 + 17|80|
|减数|28|6×7|
|被除数|83 - 27|54|
|除数|8|3×2|
答案:
35+17-28
=52-28
=24
80-6×7
=80-42
=38
(83-27)÷8
=56÷8
=7
54÷(3×2)
=54÷6
=9
=52-28
=24
80-6×7
=80-42
=38
(83-27)÷8
=56÷8
=7
54÷(3×2)
=54÷6
=9
2. 算一算,比一比。你有什么发现?填一填。

发现:两个数的和(或差)与一个数相乘的结果与它们分别与这个数相乘,再相加(或相减)的结果( )。(填“相等”或“不相等”)
发现:两个数的和(或差)与一个数相乘的结果与它们分别与这个数相乘,再相加(或相减)的结果( )。(填“相等”或“不相等”)
答案:
7×4+7×5
=28+35
=63
7×(4+5)
=7×9
=63
8×6-8×5
=48-40
=8
8×(6-5)
=8×1
=8
相等
=28+35
=63
7×(4+5)
=7×9
=63
8×6-8×5
=48-40
=8
8×(6-5)
=8×1
=8
相等
3. 把下面每组算式合并成综合算式。
(1)26 - 10 = 16
16÷8 = 2______
(2)45 + 15 = 60
84 - 60 = 24______
(1)26 - 10 = 16
16÷8 = 2______
(2)45 + 15 = 60
84 - 60 = 24______
答案:
(1)(26-10)÷8=2
(2)84-(45+15)=24
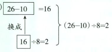
解析:把分步算式合并成综合算式,应先找出一个算式中的哪个数是由另一个算式计算得到的,将数替换成算式,再看运算顺序,确定用不用加小括号。
(1)26-10=16
换成
16÷8=2
(26-10)÷8=2

(2)45+15=60
换成
84-60=24
84-(45+15)=24
(1)(26-10)÷8=2
(2)84-(45+15)=24
解析:把分步算式合并成综合算式,应先找出一个算式中的哪个数是由另一个算式计算得到的,将数替换成算式,再看运算顺序,确定用不用加小括号。
(1)26-10=16
换成
16÷8=2
(26-10)÷8=2
(2)45+15=60
换成
84-60=24
84-(45+15)=24
4. 根据下面的线段图,求出甲、乙的和。请列式解答。
(1)

(2)

(1)
(2)
答案:
(1)24-18=6
24+6=30
(2)24÷4=6
24+6=30
24+6=30
(2)24÷4=6
24+6=30
5. 已知 63 - 4×7 > 25 + □×4,那么 □ 里可以填( )。
答案:
0、1、2
3
解析:解决这类问题,先把能算的算出结果,再根据大小关系逐步推理。先算出左边算式的结果是35,也就是说25+□×4<35,那么□×4的积必须小于35-25=10,则□里只能填0、1、2。
3
解析:解决这类问题,先把能算的算出结果,再根据大小关系逐步推理。先算出左边算式的结果是35,也就是说25+□×4<35,那么□×4的积必须小于35-25=10,则□里只能填0、1、2。
查看更多完整答案,请扫码查看