第59页
- 第1页
- 第2页
- 第3页
- 第4页
- 第5页
- 第6页
- 第7页
- 第8页
- 第9页
- 第10页
- 第11页
- 第12页
- 第13页
- 第14页
- 第15页
- 第16页
- 第17页
- 第18页
- 第19页
- 第20页
- 第21页
- 第22页
- 第23页
- 第24页
- 第25页
- 第26页
- 第27页
- 第28页
- 第29页
- 第30页
- 第31页
- 第32页
- 第33页
- 第34页
- 第35页
- 第36页
- 第37页
- 第38页
- 第39页
- 第40页
- 第41页
- 第42页
- 第43页
- 第44页
- 第45页
- 第46页
- 第47页
- 第48页
- 第49页
- 第50页
- 第51页
- 第52页
- 第53页
- 第54页
- 第55页
- 第56页
- 第57页
- 第58页
- 第59页
- 第60页
- 第61页
- 第62页
- 第63页
- 第64页
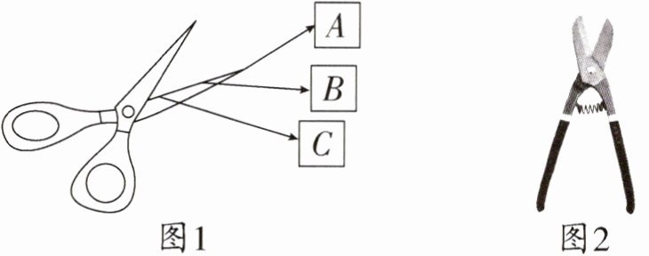
6. 考古发现,西汉时便有了剪刀,文人们表示,他们虽用剪刀,但不清楚其中的科学原理,请你为他们进行科学讲解:
图1 图2

剪刀是一种组合工具,它同时具有______和______的结构特点。使用剪刀(图1)时,最省力的方法是把物体放在______(填字母)点。工业用铁皮剪刀手柄处设计很长(图2),铁皮剪刀属于______(填“省力”或“费力”)杠杆。
图1 图2
剪刀是一种组合工具,它同时具有______和______的结构特点。使用剪刀(图1)时,最省力的方法是把物体放在______(填字母)点。工业用铁皮剪刀手柄处设计很长(图2),铁皮剪刀属于______(填“省力”或“费力”)杠杆。
答案:
斜面 杠杆 C 省力
7. 除了剪刀之外,我们生活中还有各种各样的工具,凝聚了人们的智慧。如台灯、手电筒等照明工具,螺丝刀、扳手等修理工具,它们让我们的生活更加便利。但在使用过程中,仍会遇到一些问题,比如在使用剪刀时,如果没有其他工具辅助,剪刀很难剪出直线。
请你和文人们一起头脑风暴,根据生活中使用工具的经验,选择一种工具,针对使用时遇到的问题进行改进,完成下面的工具改进单。
|工具名称| |
|使用时遇到的问题| |
|我的改进方案(用文字标明主要结构)| |
|设计意图(如改进了什么结构、解决了什么问题等)| |
请你和文人们一起头脑风暴,根据生活中使用工具的经验,选择一种工具,针对使用时遇到的问题进行改进,完成下面的工具改进单。
|工具名称| |
|使用时遇到的问题| |
|我的改进方案(用文字标明主要结构)| |
|设计意图(如改进了什么结构、解决了什么问题等)| |
答案:
剪刀 没有其他工具辅助下,剪刀很难剪出直线 1. 在剪刀的一个把手处装一个轮架。2. 伸出另一个把手一段距离,在轮架的底部装一个滑轮。3. 在剪刀两个把间设计一个压缩弹簧。 改变剪刀的杠杆的结构,为了解决剪刀难走直线的问题
8. 文人们在纸上写下文章记录今天的宴饮之乐,并在纸上盖上自己的印章。盖印章时,一般需要先在印泥里按一下,这个过程很像活字印刷中的( )
A.检字
B.刷墨
C.拓印
A.检字
B.刷墨
C.拓印
答案:
B
9. 小科想打印文人们的作品,便去学习“活字印刷”。在练习的时候,他把“2、0、0、8”四个数字雕刻在木板上,形成字模,下列表述最不科学的是( )。
A.雕刻在4块不同木板上,有多种组合
B.雕刻在同一块木板上,可以重复多次印刷
C.雕刻在4块不同木板上,只可以印刷一次
A.雕刻在4块不同木板上,有多种组合
B.雕刻在同一块木板上,可以重复多次印刷
C.雕刻在4块不同木板上,只可以印刷一次
答案:
C
查看更多完整答案,请扫码查看