2025年赢在起跑线快乐暑假河北少年儿童出版社八年级物理教科版
注:目前有些书本章节名称可能整理的还不是很完善,但都是按照顺序排列的,请同学们按照顺序仔细查找。练习册 2025年赢在起跑线快乐暑假河北少年儿童出版社八年级物理教科版 答案主要是用来给同学们做完题方便对答案用的,请勿直接抄袭。
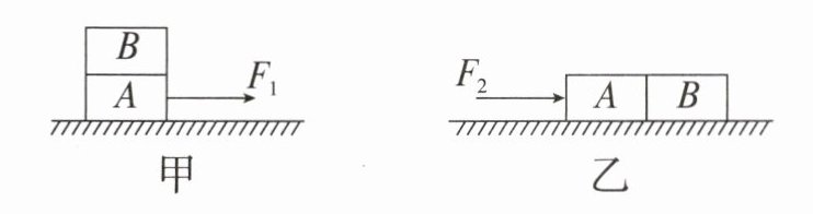
6. 如图甲所示,完全相同的木块 $ A $ 和 $ B $ 叠放在水平桌面上,在 10 N 水平拉力 $ F_1 $ 的作用下,木块 $ A $、$ B $ 一起做匀速直线运动。如图乙所示,将木块 $ A $、$ B $ 紧靠着放在同一水平桌面上,用水平力 $ F_2 $ 推木块 $ A $,使它们一起做匀速直线运动。甲、乙两种情况中,木块 $ A $ 受到的摩擦力分别是 ……(

A. 10 N 0 N
B. 10 N 10 N
C. 10 N 5 N
D. 0 N 5 N
C
)A. 10 N 0 N
B. 10 N 10 N
C. 10 N 5 N
D. 0 N 5 N
答案:
C
7. 如图所示,小明用 10 N 的水平拉力 $ F $ 拉动木板 $ A $ 在水平地面上向右运动,物块 $ B $ 相对地面静止不动,此时弹簧测力计的示数为 6 N,下列说法正确的是 ……(

A. 物块 $ B $ 对木板 $ A $ 的摩擦力大小为 4 N,方向水平向左
B. 只有木板 $ A $ 匀速运动时,才能测得物块 $ B $ 受到的摩擦力为 6 N
C. 若木板 $ A $ 匀速运动,则地面对木板 $ A $ 的摩擦力大小为 10 N,方向水平向左
D. 无论木板 $ A $ 是否匀速运动,物块 $ B $ 受到的摩擦力大小一定为 6 N,方向水平向右
D
)A. 物块 $ B $ 对木板 $ A $ 的摩擦力大小为 4 N,方向水平向左
B. 只有木板 $ A $ 匀速运动时,才能测得物块 $ B $ 受到的摩擦力为 6 N
C. 若木板 $ A $ 匀速运动,则地面对木板 $ A $ 的摩擦力大小为 10 N,方向水平向左
D. 无论木板 $ A $ 是否匀速运动,物块 $ B $ 受到的摩擦力大小一定为 6 N,方向水平向右
答案:
D
8. 学校大课间举行拔河比赛,老师挑选体重偏大的同学参赛,这是通过增大
压力
的方法来增大摩擦;赛前老师叮嘱同学们清扫比赛场地的砂粒,这是因为砂粒会将鞋与地面的摩擦变为滚动摩擦
(选填“滚动摩擦”或“滑动摩擦”)影响比赛成绩。
答案:
压力 滚动摩擦
9. 如图所示,小明握住重为 5 N 的柱状玻璃杯使其始终竖直静止在空中。此时玻璃杯所受摩擦力的大小为

5
N;增加手握玻璃杯的力,玻璃杯所受到的摩擦力将不变
,喝掉部分水后,玻璃杯所受到的摩擦力将减小
。(后两空均选填“增大”“减小”或“不变”)
答案:
5 不变 减小
10. 在图中画出正在沿斜面向上滑动的物块所受摩擦力 $ f $ 与支持力 $ F $ 的示意图。

答案:
如图所示
如图所示
查看更多完整答案,请扫码查看