2025年全优少年课时训练四年级数学下册苏教版
注:目前有些书本章节名称可能整理的还不是很完善,但都是按照顺序排列的,请同学们按照顺序仔细查找。练习册 2025年全优少年课时训练四年级数学下册苏教版 答案主要是用来给同学们做完题方便对答案用的,请勿直接抄袭。
第65页
- 第1页
- 第2页
- 第3页
- 第4页
- 第5页
- 第6页
- 第7页
- 第8页
- 第9页
- 第10页
- 第11页
- 第12页
- 第13页
- 第14页
- 第15页
- 第16页
- 第17页
- 第18页
- 第19页
- 第20页
- 第21页
- 第22页
- 第23页
- 第24页
- 第25页
- 第26页
- 第27页
- 第28页
- 第29页
- 第30页
- 第31页
- 第32页
- 第33页
- 第34页
- 第35页
- 第36页
- 第37页
- 第38页
- 第39页
- 第40页
- 第41页
- 第42页
- 第43页
- 第44页
- 第45页
- 第46页
- 第47页
- 第48页
- 第49页
- 第50页
- 第51页
- 第52页
- 第53页
- 第54页
- 第55页
- 第56页
- 第57页
- 第58页
- 第59页
- 第60页
- 第61页
- 第62页
- 第63页
- 第64页
- 第65页
- 第66页
- 第67页
- 第68页
1. 画出下面每个图形指定底边上的高,并量出相应长度。
三角形的底是( )毫米,高是( )毫米。
平行四边形的底是( )毫米,高是( )毫米。
梯形的上底是( )毫米,下底是( )毫米,高是( )毫米。
三角形的底是( )毫米,高是( )毫米。
平行四边形的底是( )毫米,高是( )毫米。
梯形的上底是( )毫米,下底是( )毫米,高是( )毫米。
答案:
21 13
11 15
13 26 12
2. 算一算。
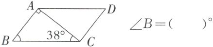
$\angle B=(\ \ \ \ )^{\circ}$


答案:
67 30 52
3. 若一个等腰三角形的两条边分别是20厘米和8厘米,则它的周长是( )厘米。
答案:
48
4. 一个三角形的三条边都是整厘米数。如果它的两条边分别是8厘米和5厘米,那么这个三角形的第三条边最短是( )厘米,最长是( )厘米。
答案:
4 12
5. 一个等腰三角形的一个角是80°,它的另外两个角分别是多少度?
答案:
如果这个角是顶角:$(180^{\circ}-80^{\circ})\div2 = 50^{\circ}$
另外两个角的度数都是$50^{\circ}$。
如果这个角是底角:
$180^{\circ}-80^{\circ}-80^{\circ}=20^{\circ}$
另外两个角的度数是$80^{\circ}$和$20^{\circ}$。
另外两个角的度数都是$50^{\circ}$。
如果这个角是底角:
$180^{\circ}-80^{\circ}-80^{\circ}=20^{\circ}$
另外两个角的度数是$80^{\circ}$和$20^{\circ}$。
6. 用24厘米长的绳子围成一个平行四边形。(接头处忽略不计,且没有剩余)
(1)如果围成的平行四边形中,相邻两条边的长度相差2厘米,那么相邻两条边的长度分别是多少厘米?
(2)如果围成的平行四边形中,相邻两条边其中一条的长度是另一条的2倍,那么相邻两条边的长度分别是多少厘米?
(1)如果围成的平行四边形中,相邻两条边的长度相差2厘米,那么相邻两条边的长度分别是多少厘米?
(2)如果围成的平行四边形中,相邻两条边其中一条的长度是另一条的2倍,那么相邻两条边的长度分别是多少厘米?
答案:
(1)$24\div2 = 12$(厘米)
$(12 - 2)\div2 = 5$(厘米)
$5 + 2 = 7$(厘米)
(2)$24\div2 = 12$(厘米)
$12\div(2 + 1)=4$(厘米)
$4\times2 = 8$(厘米)
(1)$24\div2 = 12$(厘米)
$(12 - 2)\div2 = 5$(厘米)
$5 + 2 = 7$(厘米)
(2)$24\div2 = 12$(厘米)
$12\div(2 + 1)=4$(厘米)
$4\times2 = 8$(厘米)
查看更多完整答案,请扫码查看