第19页
- 第1页
- 第2页
- 第3页
- 第4页
- 第5页
- 第6页
- 第7页
- 第8页
- 第9页
- 第10页
- 第11页
- 第12页
- 第13页
- 第14页
- 第15页
- 第16页
- 第17页
- 第18页
- 第19页
- 第20页
- 第21页
- 第22页
- 第23页
- 第24页
- 第25页
- 第26页
- 第27页
- 第28页
- 第29页
- 第30页
- 第31页
- 第32页
- 第33页
- 第34页
- 第35页
- 第36页
- 第37页
- 第38页
- 第39页
- 第40页
- 第41页
- 第42页
- 第43页
- 第44页
- 第45页
- 第46页
- 第47页
- 第48页
- 第49页
- 第50页
- 第51页
- 第52页
- 第53页
- 第54页
- 第55页
- 第56页
- 第57页
- 第58页
- 第59页
- 第60页
- 第61页
- 第62页
- 第63页
- 第64页
- 第65页
- 第66页
- 第67页
- 第68页
- 第69页
- 第70页
- 第71页
- 第72页
- 第73页
- 第74页
我尝试|1. 根据每组中第一道算式,直接写出后两题的得数。
$72÷12= 6$ $20÷5= 4$ $78÷3= 26$ $49÷7= 7$
$720÷120= $ $200÷50= $ $780÷30= $ $490÷70= $
$7200÷1200= $ $2000÷500= $ $780÷3= $ $4900÷700= $
$72÷12= 6$ $20÷5= 4$ $78÷3= 26$ $49÷7= 7$
$720÷120= $ $200÷50= $ $780÷30= $ $490÷70= $
$7200÷1200= $ $2000÷500= $ $780÷3= $ $4900÷700= $
答案:
6
4
26
7
6
4
260
7
4
26
7
6
4
260
7
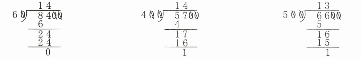
我能行|2. 下面的计算对吗?把不对的改正过来。
$8400÷60= 14$ $5700÷400= 14……1$ $6600÷500= 13……10$
$
\begin{array}{r} 14 \\ 60\enclose{longdiv}{8400} \\ 6 \\ \hline 24 \\ 24 \\ \hline 0 \end{array} $$ $$ \begin{array}{r} 14 \\ 400\enclose{longdiv}{5700} \\ 4 \\ \hline 17 \\ 16 \\ \hline 1 \end{array} $$ $$ \begin{array}{r} 13 \\ 500\enclose{longdiv}{6600} \\ 5 \\ \hline 16 \\ 15 \\ \hline 1 \end{array} $
$8400÷60= 14$ $5700÷400= 14……1$ $6600÷500= 13……10$
$
答案:
不对

不对

不对
不对
不对
不对
3. 用简便方法计算。
$900÷60$ $5800÷200$ $3600÷300$
$900÷60$ $5800÷200$ $3600÷300$
答案:
=90÷6
=15
=58÷2
=29
=36÷3
=12
=15
=58÷2
=29
=36÷3
=12
我很棒|4. 填写下表。


|要运的总箱数|400|200|800|1200|
|每次运的箱数|40|40|40|40|
|需要运的次数| | | | |
|要运的总箱数|400|200|800|1200|
|每次运的箱数|40|40|40|40|
|需要运的次数| | | | |
答案:
10
5
20
30
1200÷30=40 (元)
40÷2=20 (元)
1200÷20=60 (箱)
答:平均每箱卖40元,如果价钱降
到原来一半, 60箱才能卖1200元。
5
20
30
1200÷30=40 (元)
40÷2=20 (元)
1200÷20=60 (箱)
答:平均每箱卖40元,如果价钱降
到原来一半, 60箱才能卖1200元。
查看更多完整答案,请扫码查看