2025年金优教辅培优优选卷八年级物理上册人教版
注:目前有些书本章节名称可能整理的还不是很完善,但都是按照顺序排列的,请同学们按照顺序仔细查找。练习册 2025年金优教辅培优优选卷八年级物理上册人教版 答案主要是用来给同学们做完题方便对答案用的,请勿直接抄袭。
15. 如图所示,从S点发出一条光线,经平面镜MN反射后,其反射光线恰好通过P点,请你作出这条入射光线并完成光路图。

答案:
15.如图所示:
15.如图所示:
16. 如图所示,L₁为入射光线,L₂为出射光线。请在图中添加合理的光学器件。(注意所添加的光学器件位置要正确,任画一种即可)

答案:
16.如图所示:
16.如图所示:
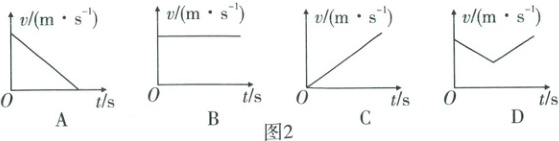
17. (绵阳期末)某同学利用斜面、小车和挡板“测量小车运动的速度”。他设计了如图1所示的实验装置,通过改变斜面的倾斜程度进行了两次实验,小车第二次运动的v-t图像如图2所示,在实验过程中记录的数据如表,请你帮助该同学完成以下问题。


(1)该实验还需要的测量仪器有刻度尺和
(2)在第一次实验中小车全程的平均速度是
(3)实验中使用的斜面的倾角较小,其目的是
(4)关于小车第二次运动的v-t图像更接近的是

(5)如果计时操作不熟练,让小车过了A点才开始计时,则会使所测AC段的平均速度v_AC偏
(1)该实验还需要的测量仪器有刻度尺和
秒表
,测量小车平均速度的实验原理是$v = \frac{s}{t}$
;(2)在第一次实验中小车全程的平均速度是
0.29
m/s(结果保留两位小数);(3)实验中使用的斜面的倾角较小,其目的是
增加
(选填“缩短”或“增加”)测量时间,以减小测量时的误差;(4)关于小车第二次运动的v-t图像更接近的是
C
(填字母代号);(5)如果计时操作不熟练,让小车过了A点才开始计时,则会使所测AC段的平均速度v_AC偏
大
(选填“大”或“小”)。
答案:
17.
(1)秒表 $v = \frac{s}{t}$
(2)0.29
(3)增加
(4)C
(5)大
(1)秒表 $v = \frac{s}{t}$
(2)0.29
(3)增加
(4)C
(5)大
查看更多完整答案,请扫码查看