第3页
- 第1页
- 第2页
- 第3页
- 第4页
- 第5页
- 第6页
- 第7页
- 第8页
- 第9页
- 第10页
- 第11页
- 第12页
- 第13页
- 第14页
- 第15页
- 第16页
- 第17页
- 第18页
- 第19页
- 第20页
- 第21页
- 第22页
- 第23页
- 第24页
- 第25页
- 第26页
- 第27页
- 第28页
- 第29页
- 第30页
- 第31页
- 第32页
- 第33页
- 第34页
- 第35页
- 第36页
- 第37页
- 第38页
- 第39页
- 第40页
- 第41页
- 第42页
- 第43页
- 第44页
- 第45页
- 第46页
- 第47页
- 第48页
- 第49页
- 第50页
- 第51页
- 第52页
- 第53页
- 第54页
- 第55页
- 第56页
- 第57页
- 第58页
- 第59页
- 第60页
- 第61页
- 第62页
- 第63页
- 第64页
- 第65页
- 第66页
- 第67页
- 第68页
- 第69页
- 第70页
- 第71页
- 第72页
- 第73页
- 第74页
- 第75页
- 第76页
- 第77页
11. 宋代方岳的《次韵杨梅》中写道:“众口但便甜似蜜,宁知奇处是微酸。”品读这句诗时让人有一种酸甜的感觉。能产生“酸甜”感觉的部位是【
A.口腔
B.脑干
C.大脑
D.小脑
C
】A.口腔
B.脑干
C.大脑
D.小脑
答案:
C
12. 通过绘制表格或概念图能够更好地理解知识之间的关系。下表中表示脊髓的标号的选项是【
神经系统组成

A.①
B.②
C.③
D.④
C
】神经系统组成
A.①
B.②
C.③
D.④
答案:
C 【解析】神经系统包括中枢神经系统和①周围神经系统,中枢神经系统包括②脑和③脊髓,周围神经系统包括脑神经和脊神经。脑位于颅腔内,包括④大脑、小脑和脑干三部分。由题图可知,表示脊髓的标号是③。故选C。
13. 人体对外界各种刺激作出的反应主要是由神经系统完成的。神经系统调节生命活动的基本方式是【
A.神经元
B.反射弧
C.神经末梢
D.反射
D
】A.神经元
B.反射弧
C.神经末梢
D.反射
答案:
D
14. 不少词语中蕴含着生物学知识。下列四个词语描述的反射活动中,属于非条件反射的是【
A.画饼充饥
B.谈虎色变
C.望梅止渴
D.入口生津
D
】A.画饼充饥
B.谈虎色变
C.望梅止渴
D.入口生津
答案:
D
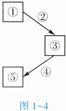
15. 小慧绘制的反射弧结构如图1-4所示,下列相关叙述错误的是【

A.图中②是传入神经,④是传出神经
B.①是感受器,⑤是效应器
C.③是神经中枢,包括大脑和脊髓
D.反射弧必须保持完整性,才能够完成反射
C
】A.图中②是传入神经,④是传出神经
B.①是感受器,⑤是效应器
C.③是神经中枢,包括大脑和脊髓
D.反射弧必须保持完整性,才能够完成反射
答案:
C
查看更多完整答案,请扫码查看