第67页
- 第1页
- 第2页
- 第3页
- 第4页
- 第5页
- 第6页
- 第7页
- 第8页
- 第9页
- 第10页
- 第11页
- 第12页
- 第13页
- 第14页
- 第15页
- 第16页
- 第17页
- 第18页
- 第19页
- 第20页
- 第21页
- 第22页
- 第23页
- 第24页
- 第25页
- 第26页
- 第27页
- 第28页
- 第29页
- 第30页
- 第31页
- 第32页
- 第33页
- 第34页
- 第35页
- 第36页
- 第37页
- 第38页
- 第39页
- 第40页
- 第41页
- 第42页
- 第43页
- 第44页
- 第45页
- 第46页
- 第47页
- 第48页
- 第49页
- 第50页
- 第51页
- 第52页
- 第53页
- 第54页
- 第55页
- 第56页
- 第57页
- 第58页
- 第59页
- 第60页
- 第61页
- 第62页
- 第63页
- 第64页
- 第65页
- 第66页
- 第67页
- 第68页
- 第69页
- 第70页
- 第71页
- 第72页
- 第73页
- 第74页
- 第75页
- 第76页
- 第77页
- 第78页
- 第79页
- 第80页
- 第81页
- 第82页
- 第83页
- 第84页
- 第85页
- 第86页
- 第87页
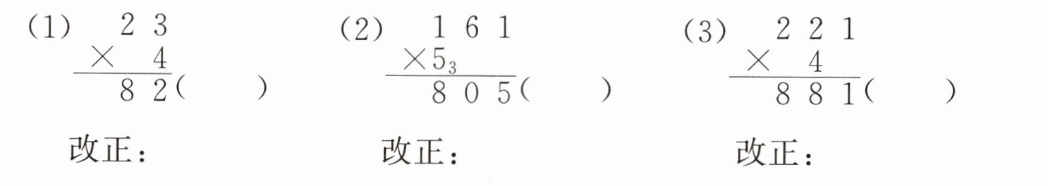
3. 判断下列竖式是否正确,正确的在( )里画“√”,错误的画“×”并改正。

(1)(×)
$\begin{array}{r} 23\\ ×\enspace4\\ \hline 92\end{array}$
(2)(×)
$\begin{array}{r} 161\\ ×\enspace5\\ \hline 805\end{array}$
(3)(×)
$\begin{array}{r} 221\\ ×\enspace4\\ \hline 884\end{array}$
(1)(×)
$\begin{array}{r} 23\\ ×\enspace4\\ \hline 92\end{array}$
(2)(×)
$\begin{array}{r} 161\\ ×\enspace5\\ \hline 805\end{array}$
(3)(×)
$\begin{array}{r} 221\\ ×\enspace4\\ \hline 884\end{array}$
答案:
(1)(×)
$\begin{array}{r} 23\\ ×\enspace4\\ \hline 92\end{array}$
(2)(×)
$\begin{array}{r} 161\\ ×\enspace5\\ \hline 805\end{array}$
(3)(×)
$\begin{array}{r} 221\\ ×\enspace4\\ \hline 884\end{array}$
(1)(×)
$\begin{array}{r} 23\\ ×\enspace4\\ \hline 92\end{array}$
(2)(×)
$\begin{array}{r} 161\\ ×\enspace5\\ \hline 805\end{array}$
(3)(×)
$\begin{array}{r} 221\\ ×\enspace4\\ \hline 884\end{array}$
4. 在$□$里填上合适的数。(每个$□$里只能填入0~9中的一个数)

答案:
5. 将0、2、5、6四个数字按要求填在下面的方框中。每个方框中需填写一个数字,且每题中每个数字仅出现一次。
(1)积最大:$□□□×□$
(2)积最小(积为0除外):$□□□×□$
(3)积的末尾有1个0:$□□□×□$
(4)积的末尾有2个0:$□□□×□$
(1)5 2 0 6
(2)5 0 6 2
(3)5 6 0 2(答案不唯一)
(4)2 6 0 5(答案不唯一)
(1)积最大:$□□□×□$
(2)积最小(积为0除外):$□□□×□$
(3)积的末尾有1个0:$□□□×□$
(4)积的末尾有2个0:$□□□×□$
(1)5 2 0 6
(2)5 0 6 2
(3)5 6 0 2(答案不唯一)
(4)2 6 0 5(答案不唯一)
答案:
(1)5 2 0 6
(2)5 0 6 2
(3)5 6 0 2(答案不唯一)
(4)2 6 0 5(答案不唯一)
(1)5 2 0 6
(2)5 0 6 2
(3)5 6 0 2(答案不唯一)
(4)2 6 0 5(答案不唯一)
6. 选择合适的方法解决下面的问题。
(1)郊外有300个小组在植树,每组植树4棵,一共植树多少棵?
(2)小亮家离学校600米,他每分钟走68米,8分钟能从家到学校吗?
(1)郊外有300个小组在植树,每组植树4棵,一共植树多少棵?
(2)小亮家离学校600米,他每分钟走68米,8分钟能从家到学校吗?
答案:
(1)$300×4=1200$(棵)
(2)$68×8\approx 560$(米) 560<600 不能
(1)$300×4=1200$(棵)
(2)$68×8\approx 560$(米) 560<600 不能
查看更多完整答案,请扫码查看