第63页
- 第1页
- 第2页
- 第3页
- 第4页
- 第5页
- 第6页
- 第7页
- 第8页
- 第9页
- 第10页
- 第11页
- 第12页
- 第13页
- 第14页
- 第15页
- 第16页
- 第17页
- 第18页
- 第19页
- 第20页
- 第21页
- 第22页
- 第23页
- 第24页
- 第25页
- 第26页
- 第27页
- 第28页
- 第29页
- 第30页
- 第31页
- 第32页
- 第33页
- 第34页
- 第35页
- 第36页
- 第37页
- 第38页
- 第39页
- 第40页
- 第41页
- 第42页
- 第43页
- 第44页
- 第45页
- 第46页
- 第47页
- 第48页
- 第49页
- 第50页
- 第51页
- 第52页
- 第53页
- 第54页
- 第55页
- 第56页
- 第57页
- 第58页
- 第59页
- 第60页
- 第61页
- 第62页
- 第63页
- 第64页
- 第65页
- 第66页
探究:计算下面三组题,你能发现什么?
$\begin{array}{|c|}\hline27÷9= \\270÷9= \\540÷9= \\\hline\end{array}$
$\begin{array}{|c|}\hline360÷6= \\360÷60= \\360÷120= \\\hline\end{array}$
$\begin{array}{|c|}\hline16÷2= \\160÷20= \\320÷40= \\\hline\end{array}$
1. 计算并观察第一组算式。(从上往下观察。)

发现:除数不变,被除数除以几(0 除外),商也除以几。
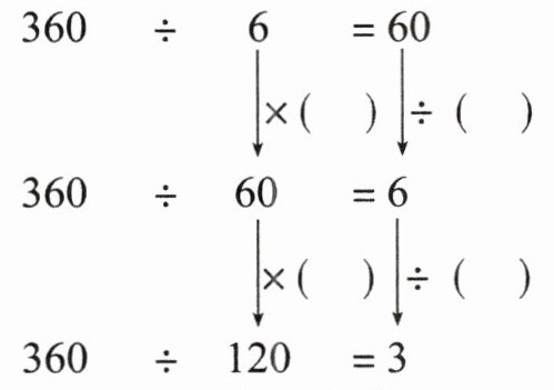
2. 计算并观察第二组算式。(从上往下观察。)

发现:

发现:被除数不变,除数除以几(0 除外),商反而乘几。
3. 计算并观察第三组算式。
(1)从上往下观察。

发现:被除数和除数都
(2)从下往上观察。

发现:被除数和除数都
4. 你能举例验证这些规律吗?
$\begin{array}{|c|}\hline27÷9= \\270÷9= \\540÷9= \\\hline\end{array}$
$\begin{array}{|c|}\hline360÷6= \\360÷60= \\360÷120= \\\hline\end{array}$
$\begin{array}{|c|}\hline16÷2= \\160÷20= \\320÷40= \\\hline\end{array}$
1. 计算并观察第一组算式。(从上往下观察。)
发现:除数不变,被除数除以几(0 除外),商也除以几。
2. 计算并观察第二组算式。(从上往下观察。)
发现:
被除数
不变,除数乘几(0 除外)
,商反而除以几
。发现:被除数不变,除数除以几(0 除外),商反而乘几。
3. 计算并观察第三组算式。
(1)从上往下观察。
发现:被除数和除数都
乘一个相同的数(0 除外)
,商不变
。(2)从下往上观察。
发现:被除数和除数都
除以一个相同的数(0 除外)
,商不变
。4. 你能举例验证这些规律吗?
略
答案:
1.10 10 2 2 除数 乘 乘几
发现:除数不变,被除数除以几(0 除外),商也除以几。
2.10 10 2 2 被除数 乘几(0 除外) 除以几
发现:被除数不变,除数除以几(0 除外),商反而乘几。
3.
(1)10 10 2 2 乘一个相同的数(0 除外) 不变
(2)10 10 2 2 除以一个相同的数(0 除外) 不变
4.略
发现:除数不变,被除数除以几(0 除外),商也除以几。
2.10 10 2 2 被除数 乘几(0 除外) 除以几
发现:被除数不变,除数除以几(0 除外),商反而乘几。
3.
(1)10 10 2 2 乘一个相同的数(0 除外) 不变
(2)10 10 2 2 除以一个相同的数(0 除外) 不变
4.略
根据每列题中第1题的商,写出下面两题的商。
$\begin{array}{l}21÷7=
$\begin{array}{l}36÷9=
$\begin{array}{l}40÷8=

$\begin{array}{l}21÷7=
3
\\210÷7=30
\\2100÷7=300
\end{array}$$\begin{array}{l}36÷9=
4
\\360÷90=4
\\3600÷900=4
\end{array}$$\begin{array}{l}40÷8=
5
\\400÷80=5
\\4000÷800=5
\end{array}$
答案:
(竖排)3 30 300 4 4 4 5 5 5
查看更多完整答案,请扫码查看