第38页
- 第1页
- 第2页
- 第3页
- 第4页
- 第5页
- 第6页
- 第7页
- 第8页
- 第9页
- 第10页
- 第11页
- 第12页
- 第13页
- 第14页
- 第15页
- 第16页
- 第17页
- 第18页
- 第19页
- 第20页
- 第21页
- 第22页
- 第23页
- 第24页
- 第25页
- 第26页
- 第27页
- 第28页
- 第29页
- 第30页
- 第31页
- 第32页
- 第33页
- 第34页
- 第35页
- 第36页
- 第37页
- 第38页
- 第39页
- 第40页
- 第41页
- 第42页
- 第43页
- 第44页
- 第45页
- 第46页
- 第47页
- 第48页
- 第49页
- 第50页
- 第51页
- 第52页
- 第53页
- 第54页
- 第55页
- 第56页
- 第57页
- 第58页
- 第59页
- 第60页
- 第61页
- 第62页
- 第63页
- 第64页
- 第65页
- 第66页
- 第67页
- 第68页
5. 秦统一中国后,统一使用的文字和货币分别是什么?
答案:
小篆;圆形方孔半两钱。
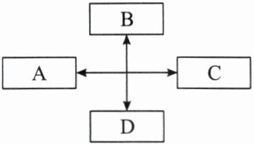
6. 下面是秦朝疆域四至示意图,写出A、B、C、D所代表的内容。

答案:
A:陇西 B:长城一带 C:东海 D:南海
1. 我国历史上第一个统一多民族的封建国家的建立者是( )。
A.汉武帝
B.秦始皇
C.周武王
D.秦孝公
A.汉武帝
B.秦始皇
C.周武王
D.秦孝公
答案:
B
2. 秦朝确立了“天下之事无大小,皆决于上”的规则,这反映出秦朝的政治本质是( )。
A.法律严苛
B.天下为公
C.思想控制
D.皇权专制
A.法律严苛
B.天下为公
C.思想控制
D.皇权专制
答案:
D
3. 下面是秦朝行政区划表(部分)。该表反映了秦朝( )。
| 郡名 | 建置时代 | 治所 |
| 陇西郡 | “秦昭王二十八年置”,秦统一中国后仍置陇西郡 | 今甘肃临洮 |
| 辽东郡 | 燕国昭王置,秦统一中国后仍置辽东郡 | 今辽宁辽阳 |
| 南海郡 | 秦始皇置 | 今广东广州 |

A.设立中央政权机构
B.加强了地方权力
C.在地方实行郡县制
D.消除了地域差异
| 郡名 | 建置时代 | 治所 |
| 陇西郡 | “秦昭王二十八年置”,秦统一中国后仍置陇西郡 | 今甘肃临洮 |
| 辽东郡 | 燕国昭王置,秦统一中国后仍置辽东郡 | 今辽宁辽阳 |
| 南海郡 | 秦始皇置 | 今广东广州 |
A.设立中央政权机构
B.加强了地方权力
C.在地方实行郡县制
D.消除了地域差异
答案:
C
4. 秦朝建立后,秦始皇又派兵统一了岭南及东南沿海地区,设置桂林、南海、象等郡。秦朝时,南海郡郡守产生的方式是( )。
A.民主推举
B.官职世袭
C.逐级分封
D.朝廷任命
A.民主推举
B.官职世袭
C.逐级分封
D.朝廷任命
答案:
D
查看更多完整答案,请扫码查看