2025年假期新思维期末暑假衔接七年级英语人教版
注:目前有些书本章节名称可能整理的还不是很完善,但都是按照顺序排列的,请同学们按照顺序仔细查找。练习册 2025年假期新思维期末暑假衔接七年级英语人教版 答案主要是用来给同学们做完题方便对答案用的,请勿直接抄袭。
第37页
- 第1页
- 第2页
- 第3页
- 第4页
- 第5页
- 第6页
- 第7页
- 第8页
- 第9页
- 第10页
- 第11页
- 第12页
- 第13页
- 第14页
- 第15页
- 第16页
- 第17页
- 第18页
- 第19页
- 第20页
- 第21页
- 第22页
- 第23页
- 第24页
- 第25页
- 第26页
- 第27页
- 第28页
- 第29页
- 第30页
- 第31页
- 第32页
- 第33页
- 第34页
- 第35页
- 第36页
- 第37页
- 第38页
- 第39页
- 第40页
- 第41页
- 第42页
- 第43页
- 第44页
- 第45页
- 第46页
- 第47页
- 第48页
- 第49页
- 第50页
- 第51页
- 第52页
- 第53页
- 第54页
- 第55页
- 第56页
- 第57页
- 第58页
- 第59页
- 第60页
- 第61页
- 第62页
- 第63页
- 第64页
- 第65页
- 第66页
- 第67页
- 第68页
A
It is warm and fine on Sunday. I invited (邀请)my friend Nancy to have dinner with my family. We often have dinner in the garden on a warm and fine spring day. Look! My family are having dinner in the garden now. My parents are sitting at the table with Nancy under a tree.
"It's great to have dinner out here on such a lovely day," my father says. "What's the weather like in your country, Nancy?" my father asks. "It's not very warm in spring. But I like the spring there best. "Help yourself to some cakes, Nancy," my mother says. "Thanks," says Nancy. "The cakes are very delicious. I enjoy the dinner very much. "
(
A. on Friday
B. in the afternoon
C. on the weekend
D. in the morning
(
A. In the restaurant.
B. In the street.
C. In the garden.
D. In the dinning hall.
(
A. two B. three
C. four D. five
(
A. It isn't very cold in spring.
B. It's very nice.
C. It's not very warm in spring.
D. It's very cold.
(
A. She enjoys the dinner very much.
B. She only enjoys the cakes.
C. She eats a lot.
D. She doesn't enjoy the cake.
It is warm and fine on Sunday. I invited (邀请)my friend Nancy to have dinner with my family. We often have dinner in the garden on a warm and fine spring day. Look! My family are having dinner in the garden now. My parents are sitting at the table with Nancy under a tree.
"It's great to have dinner out here on such a lovely day," my father says. "What's the weather like in your country, Nancy?" my father asks. "It's not very warm in spring. But I like the spring there best. "Help yourself to some cakes, Nancy," my mother says. "Thanks," says Nancy. "The cakes are very delicious. I enjoy the dinner very much. "
(
C
)1. Nancy is staying with the writer's family ______.A. on Friday
B. in the afternoon
C. on the weekend
D. in the morning
(
C
)2. Where do they have dinner?A. In the restaurant.
B. In the street.
C. In the garden.
D. In the dinning hall.
(
C
)3. According to this passage(根据文章), there are ______ people who enjoy the dinner in the garden.A. two B. three
C. four D. five
(
C
)4. What's the weather like in Nancy's country?A. It isn't very cold in spring.
B. It's very nice.
C. It's not very warm in spring.
D. It's very cold.
(
A
)5. How does Nancy like the dinner?A. She enjoys the dinner very much.
B. She only enjoys the cakes.
C. She eats a lot.
D. She doesn't enjoy the cake.
答案:
1.C 2.C 3.C 4.C 5.A
B
What's the weather like in different cities around China? What's the weather like in your city? Today we'll travel to some cities. They have their own special weather.
Turpan(吐鲁番) is a city in Xinjiang. It is very hot in summer. And there is little rain. It is like a desert(沙漠). The highest temperature in summer can be 49.6℃. You can even boil an egg on the ground.
Lhasa is a dry city in China. It's sunny most of the time. The sun is so strong that the rain in summer does not last long. If you travel to Lhasa, you might feel quite dry. You need to drink a lot of water because you will often feel thirsty.
The coldest city in China is Genhe in Inner Mongolia. It is very cold in winter. The lowest temperature is -58℃. The water vapour(蒸气) you breathe(呼吸) out will turn into ice at once. It is dangerous to stay outside for a long time. You have to wear very thick clothes to keep warm.
Ya'an is a city in Sichuan. It rains nearly 300 days a year. And it's always warm. The rain brings fresh air and makes the city beautiful.
(
A. A book. B. A computer.
C. Water. D. A wallet.
(
A. Turpan. B. Lhasa.
C. Genhe. D. Ya'an.
(
A. Turpan is a desert
B. it doesn't rain most of the time in Lhasa
C. in Ya'an, the air makes the city beautiful
D. in Genhe, people like to stay outside in winter
(

(
A. The cold weather
B. Different cities
C. The hot weather
D. The weather in different cities
What's the weather like in different cities around China? What's the weather like in your city? Today we'll travel to some cities. They have their own special weather.
Turpan(吐鲁番) is a city in Xinjiang. It is very hot in summer. And there is little rain. It is like a desert(沙漠). The highest temperature in summer can be 49.6℃. You can even boil an egg on the ground.
Lhasa is a dry city in China. It's sunny most of the time. The sun is so strong that the rain in summer does not last long. If you travel to Lhasa, you might feel quite dry. You need to drink a lot of water because you will often feel thirsty.
The coldest city in China is Genhe in Inner Mongolia. It is very cold in winter. The lowest temperature is -58℃. The water vapour(蒸气) you breathe(呼吸) out will turn into ice at once. It is dangerous to stay outside for a long time. You have to wear very thick clothes to keep warm.
Ya'an is a city in Sichuan. It rains nearly 300 days a year. And it's always warm. The rain brings fresh air and makes the city beautiful.
(
C
)6. What should you take when you travel in Lhasa?A. A book. B. A computer.
C. Water. D. A wallet.
(
D
)7. Which city has the most rain according to the passage?A. Turpan. B. Lhasa.
C. Genhe. D. Ya'an.
(
B
)8. From the passage, we can know that ______.A. Turpan is a desert
B. it doesn't rain most of the time in Lhasa
C. in Ya'an, the air makes the city beautiful
D. in Genhe, people like to stay outside in winter
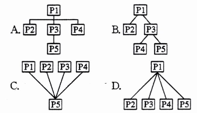
(
D
)9. Which is the structure of the passage?(
D
)10. What's the best title for the passage?A. The cold weather
B. Different cities
C. The hot weather
D. The weather in different cities
答案:
6.C 7.D 8.B 9.D 10.D
查看更多完整答案,请扫码查看