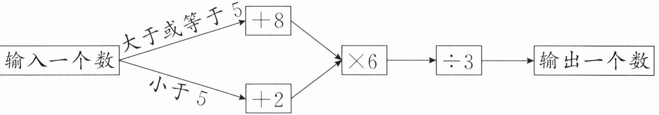
4. 下图是轩轩设计的一个计算机程序,当输入的数是4时,输出的结果是(
12
);当输入的数是7时,输出的结果是(30
)。
答案:
12 30
5. 花花在计算$(630-□)÷35+80$时,不小心漏看了小括号,算出的结果是708。正确的结果是(
96
)。
答案:
96
1. 口算。(8分)
$16×4= $
$80×20= $
$30×13= $
$7×8÷7×8= $
$300÷60= $
$72÷24= $
$960÷30= $
$80+120÷20= $
$16×4= $
64
$80×20= $
1600
$30×13= $
390
$7×8÷7×8= $
64
$300÷60= $
5
$72÷24= $
3
$960÷30= $
32
$80+120÷20= $
86
答案:
64 1600 390 64 5 3 32 86
2. 脱式计算。(12分)
$26×(40+564÷12)$
$75×14+450÷25$
$[260-(53+132)]×18$
$26×(40+564÷12)$
$75×14+450÷25$
$[260-(53+132)]×18$
答案:
2262 1068 1350
(计算过程略)
(计算过程略)
3. 直接在每组中得数大的算式后面的$□$里画“√”。(9分)
(1)$68+36×5$ $□$ $(68+36)×5$
(2)$572-210÷7×3$ $□$ $572-210÷(7×3)$
(3)$180÷[36÷(12+6)]$
(1)$68+36×5$ $□$ $(68+36)×5$
√
(2)$572-210÷7×3$ $□$ $572-210÷(7×3)$
√
(3)$180÷[36÷(12+6)]$
√
$180÷(36÷12)+6$ $□$
答案:
(1)□ √
(2)□ √
(3)√ □
(1)□ √
(2)□ √
(3)√ □
1. 实验小学举办“童心画春天”活动,二年级和六年级创作的作品数量关系如下图。这两个年级一共创作了多少幅作品?(7分)
答案:
38×2+15+38=129(幅)
答:这两个年级一共创作了129幅作品。
答:这两个年级一共创作了129幅作品。
查看更多完整答案,请扫码查看