2025年智趣暑假作业云南科技出版社七年级数学人教版
注:目前有些书本章节名称可能整理的还不是很完善,但都是按照顺序排列的,请同学们按照顺序仔细查找。练习册 2025年智趣暑假作业云南科技出版社七年级数学人教版 答案主要是用来给同学们做完题方便对答案用的,请勿直接抄袭。
3. 如图,直线$l_{1}// l_{2}$,$\angle \alpha=\angle \beta$,$\angle 1 = 40^{\circ}$,则$\angle 2 = $
140°
.
答案:
140°
1. 如图,$E为DF$上一点,$B为AC$上一点,$\angle 1 = \angle 2$,$\angle C = \angle D$.试说明$DF// AC$.

答案:
证明:由题意可知,∠1=∠3,∠1=∠2,
∴∠2=∠3,
∴DB//EC,则∠C=∠DBA,
∵∠C=∠D,
∴∠DBA=∠D,
∴DF//AC.
∴∠2=∠3,
∴DB//EC,则∠C=∠DBA,
∵∠C=∠D,
∴∠DBA=∠D,
∴DF//AC.
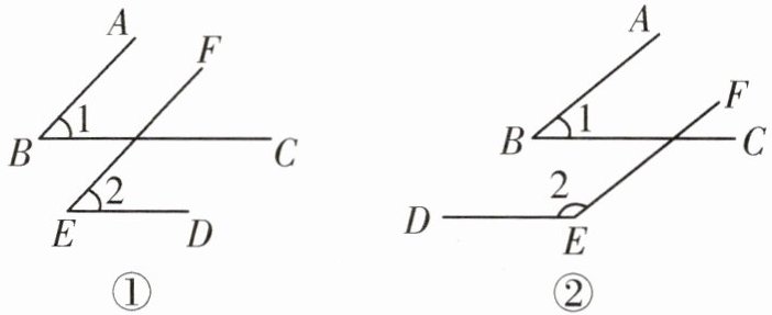
2. 已知一个角的两边与另一个角的两边分别平行,结合图形探索这两个角的关系.
(1)如图①,$AB// EF$,$BC// ED$,试说明$\angle 1与\angle 2$的大小关系,并说明理由;
(2)如图②,$AB// EF$,$BC// DE$,试说明$\angle 1与\angle 2$的大小关系,并说明理由;
(3)经过探索,综合上述,我们可以得到一个真命题是____.

(1)如图①,$AB// EF$,$BC// ED$,试说明$\angle 1与\angle 2$的大小关系,并说明理由;
(2)如图②,$AB// EF$,$BC// DE$,试说明$\angle 1与\angle 2$的大小关系,并说明理由;
(3)经过探索,综合上述,我们可以得到一个真命题是____.
答案:
(1)∠1=∠2. 理由如下:如图①.
∵AB//EF,
∴∠1=∠3.
∵BC//ED,
∴∠2=∠3.
∴∠1=∠2.
(2)∠1+∠2=180°. 理由如下:如图②.
∵AB//EF,
∴∠1=∠3.
∵BC//DE,
∴∠3+∠2=180°.
∴∠1+∠2=180°.
(3)如果一个角的两边与另一个角的两边分别平行,那么这两个角相等或互补

(1)∠1=∠2. 理由如下:如图①.
∵AB//EF,
∴∠1=∠3.
∵BC//ED,
∴∠2=∠3.
∴∠1=∠2.
(2)∠1+∠2=180°. 理由如下:如图②.
∵AB//EF,
∴∠1=∠3.
∵BC//DE,
∴∠3+∠2=180°.
∴∠1+∠2=180°.
(3)如果一个角的两边与另一个角的两边分别平行,那么这两个角相等或互补
查看更多完整答案,请扫码查看