第61页
- 第1页
- 第2页
- 第3页
- 第4页
- 第5页
- 第6页
- 第7页
- 第8页
- 第9页
- 第10页
- 第11页
- 第12页
- 第13页
- 第14页
- 第15页
- 第16页
- 第17页
- 第18页
- 第19页
- 第20页
- 第21页
- 第22页
- 第23页
- 第24页
- 第25页
- 第26页
- 第27页
- 第28页
- 第29页
- 第30页
- 第31页
- 第32页
- 第33页
- 第34页
- 第35页
- 第36页
- 第37页
- 第38页
- 第39页
- 第40页
- 第41页
- 第42页
- 第43页
- 第44页
- 第45页
- 第46页
- 第47页
- 第48页
- 第49页
- 第50页
- 第51页
- 第52页
- 第53页
- 第54页
- 第55页
- 第56页
- 第57页
- 第58页
- 第59页
- 第60页
- 第61页
- 第62页
- 第63页
- 第64页
- 第65页
- 第66页
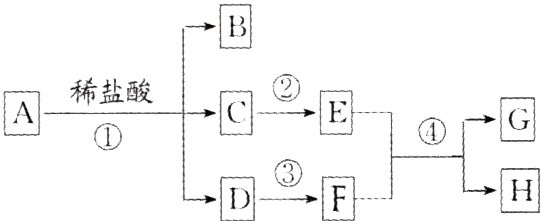
7. A~H是初中化学常见的物质,其中A是发酵粉的主要成分之一,B是常用调味品,E、F的俗称分别是熟石灰、纯碱。它们之间的相互转化关系如图所示。
(1) 写出A、B的化学式:A__________, B__________。
(2) 在物质的分类中,D属于____________(填“酸”“碱”“盐”或“氧化物”)。
(3) 图中反应②的化学方程式为__________。
(4) 图中反应④的化学方程式为____________。
(1) 写出A、B的化学式:A__________, B__________。
(2) 在物质的分类中,D属于____________(填“酸”“碱”“盐”或“氧化物”)。
(3) 图中反应②的化学方程式为__________。
(4) 图中反应④的化学方程式为____________。
答案:
(1)NaHCO₃ NaCl
(2)氧化物
(3)CaO+H₂O = Ca(OH)₂
(4)Ca(OH)₂+Na₂CO₃=CaCO₃↓+2NaOH
(1)NaHCO₃ NaCl
(2)氧化物
(3)CaO+H₂O = Ca(OH)₂
(4)Ca(OH)₂+Na₂CO₃=CaCO₃↓+2NaOH
8. 构建知识网络是一种重要的学习方法。如图是某同学整理的关于碳酸钠化学性质的知识网络,其中A、B属于不同类别的化合物,图中“—”表示某种相连的两种物质通过一步反应可转化为另一种物质。
(1) 若将A物质的溶液滴加到碳酸钠溶液中,观察到有无色气泡冒出,则A物质可能是______(填一种物质的化学式)。
(2) 不同类别的B物质能够与碳酸钠溶液反应产生白色沉淀,请选取其中一种,写出其与碳酸钠溶液反应的化学方程式:____________________________。
除你选取的物质所属类别外,B物质还可能属于______(填物质类别)。
(3) 如图乙所示,有一种物质X能与碳酸钠、硫酸钠都发生双向转化,写出反应②的化学方程式: __________________。
(1) 若将A物质的溶液滴加到碳酸钠溶液中,观察到有无色气泡冒出,则A物质可能是______(填一种物质的化学式)。
(2) 不同类别的B物质能够与碳酸钠溶液反应产生白色沉淀,请选取其中一种,写出其与碳酸钠溶液反应的化学方程式:____________________________。
除你选取的物质所属类别外,B物质还可能属于______(填物质类别)。
(3) 如图乙所示,有一种物质X能与碳酸钠、硫酸钠都发生双向转化,写出反应②的化学方程式: __________________。
答案:
(1)HCl
(2)Ca(OH)₂+Na₂CO₃=CaCO₃↓+2NaOH 盐(合理均可)
(3)2NaOH+CO₂=Na₂CO₃+H₂O
(1)HCl
(2)Ca(OH)₂+Na₂CO₃=CaCO₃↓+2NaOH 盐(合理均可)
(3)2NaOH+CO₂=Na₂CO₃+H₂O
9. 某化学兴趣小组对当地的石灰石样品进行实验研究。称取石灰石样品8g,把40g稀盐酸平均分成4份,分4次加入样品中,测得实验数据如下表(假设石灰石样品中杂质不溶于水、不与盐酸反应,二氧化碳不溶解)。
(1) 分析判断第4次物质的质量m的数值为________。
(2) 石灰石样品中CaCO₃的质量分数为________。
(3) 计算稀盐酸的溶质质量分数。
(1) 分析判断第4次物质的质量m的数值为________。
(2) 石灰石样品中CaCO₃的质量分数为________。
(3) 计算稀盐酸的溶质质量分数。
答案:
(1)1.6(提示:分析前3次加入HCl所引起的质量差——2.5g、2.5g、1.4g,判断第3次起所剩1.6g为杂质)
(2)80%
(3)解:设稀盐酸的溶质质量分数为x。第1次加入稀盐酸,稀盐酸完全反应。
2HCl ~ CaCO₃
73 100
10g·x 8g−5.5g=2.5g
$\frac{73}{100}$=$\frac{10g·x}{2.5g}$
解得x=18.25%
答:稀盐酸的溶质质量分数为18.25%。
(1)1.6(提示:分析前3次加入HCl所引起的质量差——2.5g、2.5g、1.4g,判断第3次起所剩1.6g为杂质)
(2)80%
(3)解:设稀盐酸的溶质质量分数为x。第1次加入稀盐酸,稀盐酸完全反应。
2HCl ~ CaCO₃
73 100
10g·x 8g−5.5g=2.5g
$\frac{73}{100}$=$\frac{10g·x}{2.5g}$
解得x=18.25%
答:稀盐酸的溶质质量分数为18.25%。
查看更多完整答案,请扫码查看