第48页
- 第1页
- 第2页
- 第3页
- 第4页
- 第5页
- 第6页
- 第7页
- 第8页
- 第9页
- 第10页
- 第11页
- 第12页
- 第13页
- 第14页
- 第15页
- 第16页
- 第17页
- 第18页
- 第19页
- 第20页
- 第21页
- 第22页
- 第23页
- 第24页
- 第25页
- 第26页
- 第27页
- 第28页
- 第29页
- 第30页
- 第31页
- 第32页
- 第33页
- 第34页
- 第35页
- 第36页
- 第37页
- 第38页
- 第39页
- 第40页
- 第41页
- 第42页
- 第43页
- 第44页
- 第45页
- 第46页
- 第47页
- 第48页
- 第49页
- 第50页
- 第51页
- 第52页
- 第53页
- 第54页
- 第55页
- 第56页
- 第57页
- 第58页
- 第59页
- 第60页
- 第61页
- 第62页
- 第63页
- 第64页
- 第65页
- 第66页
- 第67页
- 第68页
- 第69页
- 第70页
- 第71页
- 第72页
- 第73页
- 第74页
- 第75页
- 第76页
- 第77页
- 第78页
- 第79页
- 第80页
- 第81页
- 第82页
- 第83页
- 第84页
- 第85页
- 第86页
- 第87页
- 第88页
- 第89页
- 第90页
- 第91页
- 第92页
- 第93页
- 第94页
- 第95页
- 第96页
- 第97页
- 第98页
- 第99页
- 第100页
1. 画一画,填一填。
(1)
6里面有()个2。
$□ ÷ □ = □$
(2)
15里面有3个()。
$□ ÷ □ = □$
(1)
6里面有()个2。
$□ ÷ □ = □$
(2)
15里面有3个()。
$□ ÷ □ = □$
答案:
(1)3;6;2;3
(2)5;15;3;5
(1)3;6;2;3
(2)5;15;3;5
2. 圈一圈,填一填。

(1)5名同学分这些蛋糕,如果每人分得同样多,每人分()个。
$□ ÷ □ = □$
(2)如果把这些蛋糕每5个装一盒,可以装()盒。
$□ ÷ □ = □$
(1)5名同学分这些蛋糕,如果每人分得同样多,每人分()个。
$□ ÷ □ = □$
(2)如果把这些蛋糕每5个装一盒,可以装()盒。
$□ ÷ □ = □$
答案:
(1) 4;$20 ÷ 5 = 4$
(2) 4;$20 ÷ 5 = 4$
(1) 4;$20 ÷ 5 = 4$
(2) 4;$20 ÷ 5 = 4$
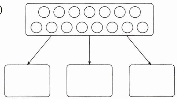
3. 看图写出乘法算式和除法算式。

$□ × □ = □$
$□ ÷ □ = □$
$□ ÷ □ = □$
$□ × □ = □$
$□ ÷ □ = □$
$□ ÷ □ = □$
答案:
$6 × 3 = 18$
$18 ÷ 6 = 3$
$18 ÷ 3 = 6$
(答案框内填写算式中的数字顺序):
$6 × 3 = 18$
$18 ÷ 6 = 3$
$18 ÷ 3 = 6$
$6 × 3 = 18$
$18 ÷ 6 = 3$
$18 ÷ 3 = 6$
(答案框内填写算式中的数字顺序):
$6 × 3 = 18$
$18 ÷ 6 = 3$
$18 ÷ 3 = 6$
查看更多完整答案,请扫码查看