第25页
- 第1页
- 第2页
- 第3页
- 第4页
- 第5页
- 第6页
- 第7页
- 第8页
- 第9页
- 第10页
- 第11页
- 第12页
- 第13页
- 第14页
- 第15页
- 第16页
- 第17页
- 第18页
- 第19页
- 第20页
- 第21页
- 第22页
- 第23页
- 第24页
- 第25页
- 第26页
- 第27页
- 第28页
- 第29页
- 第30页
- 第31页
- 第32页
- 第33页
- 第34页
- 第35页
- 第36页
- 第37页
- 第38页
- 第39页
- 第40页
- 第41页
- 第42页
- 第43页
- 第44页
- 第45页
- 第46页
- 第47页
- 第48页
- 第49页
- 第50页
- 第51页
- 第52页
- 第53页
- 第54页
- 第55页
- 第56页
- 第57页
- 第58页
- 第59页
- 第60页
- 第61页
- 第62页
- 第63页
- 第64页
5.4 × 6 = (
↓×10 ↑(
54 × 6 = 324
3.07 × 1.6 = (
↓×100 ↓(
307 × 16 = 4912
32.4
)↓×10 ↑(
÷10
)54 × 6 = 324
3.07 × 1.6 = (
4.912
)↓×100 ↓(
×10
) ↑(÷1000
)307 × 16 = 4912
答案:
5.4 × 6 = (32.4)
↓×10 ↑(÷10)
54 × 6 = 324
3.07 × 1.6 = (4.912)
↓×100 ↓×10 ↑(÷1000)
307 × 16 = 4912
↓×10 ↑(÷10)
54 × 6 = 324
3.07 × 1.6 = (4.912)
↓×100 ↓×10 ↑(÷1000)
307 × 16 = 4912
2. 计算下面整个大长方形的面积,可以用哪个算式来计算?(
A.2.3×1.1
B.2.8×1.3
C.2.8×1.1
D.2.3×1.3
B
)A.2.3×1.1
B.2.8×1.3
C.2.8×1.1
D.2.3×1.3
答案:
B
3.“小数乘法”和“整数乘法”在计算方法上的联系。
(1)计算整数乘法30×3时,我们可以把30看成3个十,也可以看成3捆小棒的根数。

如上图,30×3就可以看成(3×3)个( )(填计数单位),也可以看成(3×3)捆小棒的根数。
(2)计算小数乘整数0.3×3时,我们可以把0.3看成3个0.1。

如上图,0.3×3就可以看成(3×3)个( )(填计数单位)。
(3)计算小数乘小数0.3×0.3时,可以看成(3×3)个( )(填计数单位)。请用画一画或写一写的方式说明。
(1)计算整数乘法30×3时,我们可以把30看成3个十,也可以看成3捆小棒的根数。
如上图,30×3就可以看成(3×3)个( )(填计数单位),也可以看成(3×3)捆小棒的根数。
(2)计算小数乘整数0.3×3时,我们可以把0.3看成3个0.1。
如上图,0.3×3就可以看成(3×3)个( )(填计数单位)。
(3)计算小数乘小数0.3×0.3时,可以看成(3×3)个( )(填计数单位)。请用画一画或写一写的方式说明。
答案:
(1)十
(2)0.1(或十分之一)
(3)0.01(或百分之一)
示例:
把0.3看成3个0.1,0.3×0.3就是3个0.1乘3个0.1,即(3×3)×(0.1×0.1)=(3×3)个0.01。
(1)十
(2)0.1(或十分之一)
(3)0.01(或百分之一)
示例:
把0.3看成3个0.1,0.3×0.3就是3个0.1乘3个0.1,即(3×3)×(0.1×0.1)=(3×3)个0.01。
4. 右面的竖式中,箭头所指的“48”表示( )。

A.0.48
B.4.8
C.48
D.480
A.0.48
B.4.8
C.48
D.480
答案:
A
5. 乐乐要冲印15张照片,每张照片的冲印费是0.85元。下面的竖式中,箭头所指的“85”表示( )。

A.冲印1张照片的钱数
B.冲印5张照片的钱数
C.冲印10张照片的钱数
D.冲印15张照片的钱数
A.冲印1张照片的钱数
B.冲印5张照片的钱数
C.冲印10张照片的钱数
D.冲印15张照片的钱数
答案:
C
6. 根据右面的竖式,比较箭头所指的两个数的大小。( )

A.A>B
B.A<B
C.A=B
D.无法比较
A.A>B
B.A<B
C.A=B
D.无法比较
答案:
B
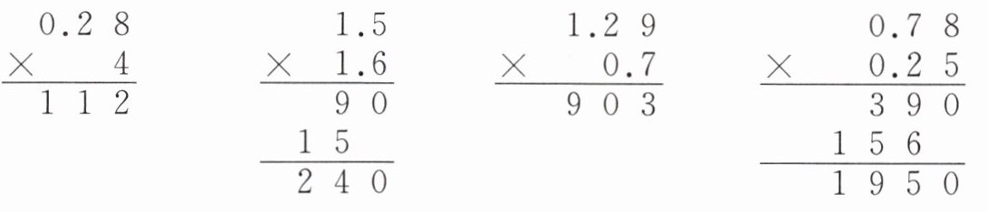
7. 给下面各题的积点上小数点。

答案:

8. 82×34的积是8.2×0.34的积的( )倍。
答案:
1000
9. 下列说法正确的是( )。
A.小数乘整数的积一定是小数
B.5.3×0.15的积是三位小数
C.0.36×0.2的积是两位小数
D.两个乘数中一共有几位小数,积里就有几位小数
A.小数乘整数的积一定是小数
B.5.3×0.15的积是三位小数
C.0.36×0.2的积是两位小数
D.两个乘数中一共有几位小数,积里就有几位小数
答案:
B
10. 下列算式中,( )与8.14×3.2的得数相等。
A.81.4×32
B.81.4×0.32
C.8.14×0.32
D.8140×0.032
A.81.4×32
B.81.4×0.32
C.8.14×0.32
D.8140×0.032
答案:
B
11. 根据45×62= 2790,将下面的算式补充完整。
4.5×62= ( )
4.5×6.2= ( )
( )×6.2= 279
0.45×0.062= ( )
450×0.62= ( )
4.5×( )= 2.79
4.5×62= ( )
4.5×6.2= ( )
( )×6.2= 279
0.45×0.062= ( )
450×0.62= ( )
4.5×( )= 2.79
答案:
4.5×62=(279)
4.5×6.2=(27.9)
(45)×6.2=279
0.45×0.062=(0.0279)
450×0.62=(279)
4.5×(0.62)=2.79
4.5×6.2=(27.9)
(45)×6.2=279
0.45×0.062=(0.0279)
450×0.62=(279)
4.5×(0.62)=2.79
12. 根据36×27= 972,在下面的括号里填合适的数。
97.2= ( )×( )= ( )×( )
0.972= ( )×( )= ( )×( )
97.2= ( )×( )= ( )×( )
0.972= ( )×( )= ( )×( )
答案:
97.2=(3.6)×(27)=(36)×(2.7)
0.972=(0.36)×(2.7)=(3.6)×(0.27)
0.972=(0.36)×(2.7)=(3.6)×(0.27)
13. 芳芳在计算5.72×3.9时,得到的结果是223.08。她算得对不对?如果不对,请说明理由。
答案:
她算得不对。因为5.72与3.9的积应是三位小数,且5.72<6,3.9<4,积应比6×4的积小,所以得到的结果不对。(叙述合理即可)
查看更多完整答案,请扫码查看