2026年王朝霞考点梳理时习卷九年级化学全一册人教版
注:目前有些书本章节名称可能整理的还不是很完善,但都是按照顺序排列的,请同学们按照顺序仔细查找。练习册 2026年王朝霞考点梳理时习卷九年级化学全一册人教版 答案主要是用来给同学们做完题方便对答案用的,请勿直接抄袭。
1. 物质是由微观粒子构成的。下列由离子构成的物质是(
A.铜
B.水
C.氮气
D.氯化钠
D
)A.铜
B.水
C.氮气
D.氯化钠
答案:
1.D
2. 科学无止境,精神永流传。下列科学家与其成就相对应的是(
A.拉瓦锡——元素周期律
B.门捷列夫——原子论
C.张青莲——测定相对原子质量
D.道尔顿——测定空气成分
C
)A.拉瓦锡——元素周期律
B.门捷列夫——原子论
C.张青莲——测定相对原子质量
D.道尔顿——测定空气成分
答案:
2.C
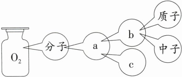
3.〔保定市〕知识梳理有助于我们对已学知识进行巩固。下图是某同学学习物质结构层次后,以氧气为例进行的梳理,下列选项中与a、b、c相对应的是

A.原子、原子核、核外电子
B.原子核、原子、核外电子
C.原子、核外电子、原子核
D.核外电子、原子核、原子
A.原子、原子核、核外电子
B.原子核、原子、核外电子
C.原子、核外电子、原子核
D.核外电子、原子核、原子
答案:
3.A
4. 现代科技情境 硼-10同位素分离技术 我国掌握了硼-10同位素分离技术,有力提升了我国硼同位素规模化生产水平,为我国核电事业的安全、有序、高效发展提供了坚实的技术保障。下图为硼原子的结构示意图,下列有关说法正确的是(

A.$x$的值为5
B.硼原子带正电
C.硼原子在化学反应中容易失去电子
D.硼原子的中子数是2
C
)A.$x$的值为5
B.硼原子带正电
C.硼原子在化学反应中容易失去电子
D.硼原子的中子数是2
答案:
4.C 【解析】在原子中,核电荷数=质子数=核外电子数,硼原子的核电荷数为5,所以核外电子总数也为5,即2+x=5,解得x=3,A错误;由于原子核内质子所带正电荷与核外电子所带的负电荷数量相等、电性相反,因此原子不显电性,B错误;硼原子最外层电子数是3,少于4个,在化学反应中容易失去电子,C正确;由硼原子的结构示意图无法直接得出硼原子的中子数,D错误。故选C。
5. 关于分子和原子的说法不正确的是(
A.分子是保持物质化学性质的最小粒子
B.原子的质量主要集中在原子核上
C.分子可以构成物质,原子不能
D.原子是化学变化中的最小粒子
C
)A.分子是保持物质化学性质的最小粒子
B.原子的质量主要集中在原子核上
C.分子可以构成物质,原子不能
D.原子是化学变化中的最小粒子
答案:
5.C
6. “宏微结合”是化学学科特有的思维方式。下列对宏观事实的微观解释不正确的是(

C
)
答案:
6.C 【解析】稀有气体不易与其他物质发生反应,化学性质比较稳定,它们的原子最外层一般都有8个电子,但是氦除外,最外层有2个电子,C不正确。故选C。
查看更多完整答案,请扫码查看