第64页
- 第1页
- 第2页
- 第3页
- 第4页
- 第5页
- 第6页
- 第7页
- 第8页
- 第9页
- 第10页
- 第11页
- 第12页
- 第13页
- 第14页
- 第15页
- 第16页
- 第17页
- 第18页
- 第19页
- 第20页
- 第21页
- 第22页
- 第23页
- 第24页
- 第25页
- 第26页
- 第27页
- 第28页
- 第29页
- 第30页
- 第31页
- 第32页
- 第33页
- 第34页
- 第35页
- 第36页
- 第37页
- 第38页
- 第39页
- 第40页
- 第41页
- 第42页
- 第43页
- 第44页
- 第45页
- 第46页
- 第47页
- 第48页
- 第49页
- 第50页
- 第51页
- 第52页
- 第53页
- 第54页
- 第55页
- 第56页
- 第57页
- 第58页
- 第59页
- 第60页
- 第61页
- 第62页
- 第63页
- 第64页
- 第65页
- 第66页
- 第67页
- 第68页
1. 在
里填上“>”“<”或“=”。

答案:
> > > < > =
2. 按从小到大的顺序排列下面各数。

答案:
689 6007 6059 6070 6700
3. 里最大能填几?
6443>644____ 79____0<7951 ____889<7900
2608<260____ 4873>4____73 368____>3688
6443>644____ 79____0<7951 ____889<7900
2608<260____ 4873>4____73 368____>3688
答案:
2 5 7 9 7 9
4. (易错题)他们各自收了多少玉米?将动物名称填在下表中。
我比小兔收的少得多。 我比小熊收的多一些。
2708根 930根 3057根
我比小兔收的少得多。 我比小熊收的多一些。
2708根 930根 3057根
答案:
2708根 930根 3057根 小熊 小猴 小兔
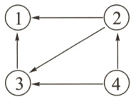
5. 找出①②③④各代表下面4个数中的哪个数。
“→”表示大于,如②→①表示②>①
1042 1245 6423 5000
1042 1245 6423 5000
答案:
【思路分析】由图中信息可知④大于②和③,②又大于③和①,③又大于①。由此可以得出这四个数的大小关系为:④>②>③>①。给出的四个数的大小关系为6423>5000>1245>1042,由此可以得出①=1042,②=5000,③=1245,④=6423。【规范解答】①=1042 ②=5000 ③=1245 ④=6423
查看更多完整答案,请扫码查看