2025年学霸提优大试卷二年级数学下册北师大版
注:目前有些书本章节名称可能整理的还不是很完善,但都是按照顺序排列的,请同学们按照顺序仔细查找。练习册 2025年学霸提优大试卷二年级数学下册北师大版 答案主要是用来给同学们做完题方便对答案用的,请勿直接抄袭。
第108页
- 第1页
- 第2页
- 第3页
- 第4页
- 第5页
- 第6页
- 第7页
- 第8页
- 第9页
- 第10页
- 第11页
- 第12页
- 第13页
- 第14页
- 第15页
- 第16页
- 第17页
- 第18页
- 第19页
- 第20页
- 第21页
- 第22页
- 第23页
- 第24页
- 第25页
- 第26页
- 第27页
- 第28页
- 第29页
- 第30页
- 第31页
- 第32页
- 第33页
- 第34页
- 第35页
- 第36页
- 第37页
- 第38页
- 第39页
- 第40页
- 第41页
- 第42页
- 第43页
- 第44页
- 第45页
- 第46页
- 第47页
- 第48页
- 第49页
- 第50页
- 第51页
- 第52页
- 第53页
- 第54页
- 第55页
- 第56页
- 第57页
- 第58页
- 第59页
- 第60页
- 第61页
- 第62页
- 第63页
- 第64页
- 第65页
- 第66页
- 第67页
- 第68页
- 第69页
- 第70页
- 第71页
- 第72页
- 第73页
- 第74页
- 第75页
- 第76页
- 第77页
- 第78页
- 第79页
- 第80页
- 第81页
- 第82页
- 第83页
- 第84页
- 第85页
- 第86页
- 第87页
- 第88页
- 第89页
- 第90页
- 第91页
- 第92页
- 第93页
- 第94页
- 第95页
- 第96页
- 第97页
- 第98页
- 第99页
- 第100页
- 第101页
- 第102页
- 第103页
- 第104页
- 第105页
- 第106页
- 第107页
- 第108页
- 第109页
- 第110页
- 第111页
- 第112页
- 第113页
- 第114页
- 第115页
- 第116页
- 第117页
- 第118页
- 第119页
- 第120页
- 第121页
- 第122页
- 第123页
- 第124页
- 第125页
- 第126页
- 第127页
- 第128页
- 第129页
- 第130页
- 第131页
- 第132页
- 第133页
- 第134页
- 第135页
4.小轩和小凯参加长跑比赛,小轩跑到500米的时候领先小凯125米,这时小凯再跑425米就到终点了。这次长跑比赛全程是多少米?(5分)
答案:
500 - 125 = 375(米)
375 + 425 = 800(米)
答:这次长跑比赛全程是800米。
375 + 425 = 800(米)
答:这次长跑比赛全程是800米。
5.劳动课上娜娜学会了包粽子。回家练习时,她包好一个粽子会休息30秒。娜娜包好5个粽子一共需要多长时间$?(6$分)

答案:
30 + 30 + 30 + 30 = 120(秒)
120秒 = 2分
2×5 = 10(分) 10 + 2 = 12(分)
答:娜娜包好5个粽子一共需要12分。
120秒 = 2分
2×5 = 10(分) 10 + 2 = 12(分)
答:娜娜包好5个粽子一共需要12分。
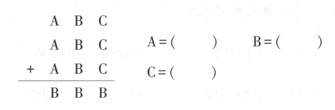
1.下面竖式中的字母各代表什么数字?(6分)

答案:
1 4 8
提示:3个三位数的和是三位数,可以判断B大于或等于3,抓住十位上都是B这一特点,把B等于3~9逐个试一试:假设B是3,十位上3个3的和是9,9加进位的1或2,末位数不能出现3;假设B是4,十位上3个4的和是12,2加进位的2,末位数正好是4,按B等于4判断个位,8 + 8 + 8 = 24,百位上A + A + A + 1 = 4,A表示1。继续验证可知,当B是5~9中的数时,都不满足。
提示:3个三位数的和是三位数,可以判断B大于或等于3,抓住十位上都是B这一特点,把B等于3~9逐个试一试:假设B是3,十位上3个3的和是9,9加进位的1或2,末位数不能出现3;假设B是4,十位上3个4的和是12,2加进位的2,末位数正好是4,按B等于4判断个位,8 + 8 + 8 = 24,百位上A + A + A + 1 = 4,A表示1。继续验证可知,当B是5~9中的数时,都不满足。
2.在一个两位数的右边添上一个9,得到一个三位数,这个三位数比原来的两位数大216。原来的两位数是( )。(4分)
答案:
23
提示:在一个两位数的右边添上一个9,得到一个三位数,原来这个两位数是
,后来的三位数是
9,相差216。也就是
9 - 
$=$ 216,因为9 - 6 $=$ 3,所以这个两位数的个位上是3。因为差是二百多,所以这个两位数的十位上是2,也就是23,检验一下:239 - 23 $=$ 216。
23
提示:在一个两位数的右边添上一个9,得到一个三位数,原来这个两位数是
查看更多完整答案,请扫码查看