2025年练出好成绩二年级数学下册人教版河南专版
注:目前有些书本章节名称可能整理的还不是很完善,但都是按照顺序排列的,请同学们按照顺序仔细查找。练习册 2025年练出好成绩二年级数学下册人教版河南专版 答案主要是用来给同学们做完题方便对答案用的,请勿直接抄袭。
第63页
- 第1页
- 第2页
- 第3页
- 第4页
- 第5页
- 第6页
- 第7页
- 第8页
- 第9页
- 第10页
- 第11页
- 第12页
- 第13页
- 第14页
- 第15页
- 第16页
- 第17页
- 第18页
- 第19页
- 第20页
- 第21页
- 第22页
- 第23页
- 第24页
- 第25页
- 第26页
- 第27页
- 第28页
- 第29页
- 第30页
- 第31页
- 第32页
- 第33页
- 第34页
- 第35页
- 第36页
- 第37页
- 第38页
- 第39页
- 第40页
- 第41页
- 第42页
- 第43页
- 第44页
- 第45页
- 第46页
- 第47页
- 第48页
- 第49页
- 第50页
- 第51页
- 第52页
- 第53页
- 第54页
- 第55页
- 第56页
- 第57页
- 第58页
- 第59页
- 第60页
- 第61页
- 第62页
- 第63页
- 第64页
- 第65页
- 第66页
- 第67页
- 第68页
1. 下面的数各接近几百或几千?
592 ______ 6840 ______
2900 ______ 7003 ______
4080 ______ 318 ______
992 ______ 8090 ______
592 ______ 6840 ______
2900 ______ 7003 ______
4080 ______ 318 ______
992 ______ 8090 ______
答案:
600 7000 3000 7000
4000 300 1000 8000
4000 300 1000 8000
2. 填一填。
光明小学有1079人,约( )人。
北京中信大厦(又名中国尊)高528米,约( )米。
电脑城里笔记本电脑的价格是4998元,约( )元。
光明小学有1079人,约( )人。
北京中信大厦(又名中国尊)高528米,约( )米。
电脑城里笔记本电脑的价格是4998元,约( )元。
答案:
1000 500 5000
3. 在□里填上适当的数字。
65□<653 463>□78
9□6<961 1003>□99
8060<□060 268□>2672
1609<16□9 4530<45□9
65□<653 463>□78
9□6<961 1003>□99
8060<□060 268□>2672
1609<16□9 4530<45□9
答案:
2 3 5 9 9 0 1 3
4. 猜一猜,填一填。

答案:
衣柜 桌子 床
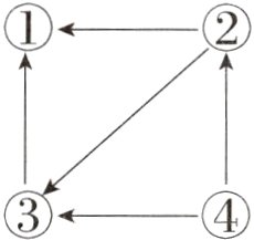
5. ①②③④分别代表下面四个数中的哪个数?(填在相应的括号里)
“→”表示大于,如②→①表示②>①
1245( ) 1042( )
5000( ) 6423( )
“→”表示大于,如②→①表示②>①
1245( ) 1042( )
5000( ) 6423( )
答案:
③ ① ② ④
解析:可把题图的箭头换成“>”,如图。

从④>②,②>③,③>①可知,④最大,其次是②和③,①最小。四个数进行比较,6423最大,其次是5000和1245,1042最小。
③ ① ② ④
解析:可把题图的箭头换成“>”,如图。
从④>②,②>③,③>①可知,④最大,其次是②和③,①最小。四个数进行比较,6423最大,其次是5000和1245,1042最小。
查看更多完整答案,请扫码查看