(1)在同一个圆中,直径有( )条,它们的长度( );在同一个圆中,半径有( )条,它们的长度( )。
答案:
无数 相等 无数 相等
(2)圆的位置与( )的位置有关,圆的大小与( )有关。
答案:
圆心 半径(或直径)
(3)王方用一个两脚张开的距离是2.5cm的圆规画了一个圆,这个圆的直径是( )cm。
答案:
5
(4)陈明量得一个大圆的直径是8cm,量得一个小圆的直径是大圆直径的一半,则小圆的半径是( )cm。
答案:
2
(1)直径和半径都是( )。
A.线段
B.射线
C.直线
A.线段
B.射线
C.直线
答案:
A
(2)以一点为圆心,可以画( )个圆。
A.1
B.无数
C.2
A.1
B.无数
C.2
答案:
B
(3)下面各图所画线段,( )是圆的半径。
A
B
C

A
B
C
答案:
B
(4)下面各图所画线段,( )是圆的直径。
A
B

C
A
B
C
答案:
B
3. 想一想同一个圆的半径和直径的关系,完成下面的表格。
|半径|4dm| |0.9cm| |3.3dm| |
|直径| |6m| |10.48km| | |

|半径|4dm| |0.9cm| |3.3dm| |
|直径| |6m| |10.48km| | |
答案:
(从上往下,从左往右)8 dm 3 m 1.8 cm 6.6 dm 5.24 km
4. 动手操作。
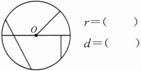
(1)找出下面圆的半径和直径,分别用$r$,$d$表示,并量出它们的长度。

$r = $( )
$d = $( )
(2)用圆规画一个半径是2cm的圆。
(1)找出下面圆的半径和直径,分别用$r$,$d$表示,并量出它们的长度。
$r = $( )
$d = $( )
(2)用圆规画一个半径是2cm的圆。
答案:
(1)
$r=(2 cm)$
$d=(4 cm)$
(2)
画图步骤:
1. 把圆规的两脚分开,定好两脚间距离为2cm;
2. 把有针尖的一只脚固定在一点上;
3. 把装有铅笔尖的一只脚旋转一周,就画出一个半径是2cm的圆。
(1)
$r=(2 cm)$
$d=(4 cm)$
(2)
画图步骤:
1. 把圆规的两脚分开,定好两脚间距离为2cm;
2. 把有针尖的一只脚固定在一点上;
3. 把装有铅笔尖的一只脚旋转一周,就画出一个半径是2cm的圆。
查看更多完整答案,请扫码查看