一、在计算 $36 + 5×9$ 时,应该先算(
5×9=45
),再算(36+45=81
)。(写算式)
答案:
5×9=45 36+45=81
二、下面各题先算什么?把它们圈起来,再计算。
$502 - 5×7$ $63÷7×3$ $5×9 + 6×9$
$168 + 54÷6$ $6×5 + 253$ $8×5 - 18÷3$
$502 - 5×7$ $63÷7×3$ $5×9 + 6×9$
$168 + 54÷6$ $6×5 + 253$ $8×5 - 18÷3$
答案:
圈略 467 27 99 177 283 34
三、在 $◯$ 里填上“$>$”“$<$”或“$=$”。
$5×9 + 15◯$
$5×9 + 15◯$
=
$60$ $64 - 32÷8◯$>
$53$ $9×4÷6◯$<
$24÷8 + 4$
答案:
= > <
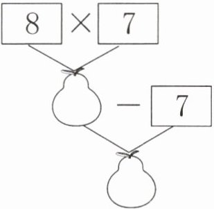
四、1. 先填空,再列综合算式。 2. 看图列式计算。


综合算式:
综合算式:
8×7-7=49
7×6+40=82(元)
答案:
1.56 49 8×7-7=49 2.7×6+40=82(元)
五、【拓展题】小秋在计算“$18 + □÷9$”时弄错了运算顺序,先算了加法,后算了除法,结果得数是 8。正确的得数是多少?
答案:
8×9-18=54 18+54÷9=24
查看更多完整答案,请扫码查看