第67页
- 第1页
- 第2页
- 第3页
- 第4页
- 第5页
- 第6页
- 第7页
- 第8页
- 第9页
- 第10页
- 第11页
- 第12页
- 第13页
- 第14页
- 第15页
- 第16页
- 第17页
- 第18页
- 第19页
- 第20页
- 第21页
- 第22页
- 第23页
- 第24页
- 第25页
- 第26页
- 第27页
- 第28页
- 第29页
- 第30页
- 第31页
- 第32页
- 第33页
- 第34页
- 第35页
- 第36页
- 第37页
- 第38页
- 第39页
- 第40页
- 第41页
- 第42页
- 第43页
- 第44页
- 第45页
- 第46页
- 第47页
- 第48页
- 第49页
- 第50页
- 第51页
- 第52页
- 第53页
- 第54页
- 第55页
- 第56页
- 第57页
- 第58页
- 第59页
- 第60页
- 第61页
- 第62页
- 第63页
- 第64页
- 第65页
- 第66页
- 第67页
- 第68页
- 第69页
- 第70页
- 第71页
- 第72页
- 第73页
- 第74页
- 第75页
- 第76页
- 第77页
- 第78页
- 第79页
- 第80页
- 第81页
- 第82页
- 第83页
- 第84页
- 第85页
- 第86页
- 第87页
- 第88页
- 第89页
- 第90页
- 第91页
- 第92页
- 第93页
- 第94页
- 第95页
10. 阅读下列材料,回答问题。
材料一 封建的中世纪的终结和现代资本主义纪元的开端,是以一位大人物为标志的,这位人物……是中世纪的最后一位诗人,同时又是新时代的最初一位诗人。
——恩格斯
(1)材料一中的“大人物”是谁?他的代表作是什么?“新时代的最初一位诗人”反映了他在文艺复兴运动中的什么地位?
材料二 大多数文艺复兴时期的艺术和文学关注的中心都是人——文艺复兴时期的新人,他或她是自身命运的塑造者,而不是超自然力量的玩物。人们不需要专心于超自然的力量,相反,生活的目的是发展自身所固有的潜能。
——摘编自[美]斯塔夫里阿诺斯《全球通史》
(2)材料二反映的是什么思想?这一思想对人类社会发展产生了什么重大影响?
材料三 两位陛下决定派我,克里斯托夫·哥伦布前往印度,以熟悉它的国土、人民和君主,了解他们的风俗习惯并带回如何能使他们皈依我们神圣宗教的经验,但不走通常的东行陆路,而走向西的海路。这条路,据我们所知,迄今尚无人走过。
——摘编自哥伦布《航海日记》
(3)哥伦布是否完成了“陛下”派给他的任务?为什么?
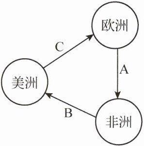
材料四

“三角贸易”示意图
(4)材料四示意图中A、B、C三处航程中贩运的东西主要是什么?
(5)综上所述,请归纳三个历史事件的共同作用。
材料一 封建的中世纪的终结和现代资本主义纪元的开端,是以一位大人物为标志的,这位人物……是中世纪的最后一位诗人,同时又是新时代的最初一位诗人。
——恩格斯
(1)材料一中的“大人物”是谁?他的代表作是什么?“新时代的最初一位诗人”反映了他在文艺复兴运动中的什么地位?
材料二 大多数文艺复兴时期的艺术和文学关注的中心都是人——文艺复兴时期的新人,他或她是自身命运的塑造者,而不是超自然力量的玩物。人们不需要专心于超自然的力量,相反,生活的目的是发展自身所固有的潜能。
——摘编自[美]斯塔夫里阿诺斯《全球通史》
(2)材料二反映的是什么思想?这一思想对人类社会发展产生了什么重大影响?
材料三 两位陛下决定派我,克里斯托夫·哥伦布前往印度,以熟悉它的国土、人民和君主,了解他们的风俗习惯并带回如何能使他们皈依我们神圣宗教的经验,但不走通常的东行陆路,而走向西的海路。这条路,据我们所知,迄今尚无人走过。
——摘编自哥伦布《航海日记》
(3)哥伦布是否完成了“陛下”派给他的任务?为什么?
材料四
“三角贸易”示意图
(4)材料四示意图中A、B、C三处航程中贩运的东西主要是什么?
(5)综上所述,请归纳三个历史事件的共同作用。
答案:
(1)但丁。《神曲》。文艺复兴的先驱。
(2)人文主义。影响:促进了人们思想的大解放,推动了欧洲文化思想领域的繁荣,为欧洲资本主义社会的产生和发展奠定了思想文化基础。
(3)没有。因为他没有到达印度,而是到了美洲大陆。
(4)A:火器、机械制品、酒等。B:黑奴。C:蔗糖、烟草等产品。
(5)都促进了欧洲资本主义的产生与发展。
(1)但丁。《神曲》。文艺复兴的先驱。
(2)人文主义。影响:促进了人们思想的大解放,推动了欧洲文化思想领域的繁荣,为欧洲资本主义社会的产生和发展奠定了思想文化基础。
(3)没有。因为他没有到达印度,而是到了美洲大陆。
(4)A:火器、机械制品、酒等。B:黑奴。C:蔗糖、烟草等产品。
(5)都促进了欧洲资本主义的产生与发展。
查看更多完整答案,请扫码查看